Dernière mise à jour :
17/12/2025
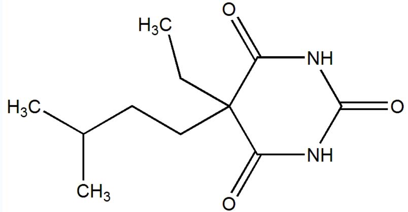
Anesthésique général   Amobarbital sodium  
injectable
Stabilité des solutions Stabilité en mélange Facteur influençant la stabilité Compatibilités Voie d’administration Bibliographie pdf
   Structure chimique  

Noms commerciaux   Noms commerciaux     

Les noms commerciaux sont donnés à titre indicatif et la composition en excipients peut être différente selon les pays et selon les laboratoires

Amytal Sodium Etats Unis d’Amérique
Stabilité en mélange   injectable   Stabilité en mélange : Amobarbital sodium     
Aucune donnée

  Mentions Légales