viimane versioon :
05/12/2025
Infostab
ingredientide nimekiri
nimekiri
Sobivus otsing
Y-liini sobivuse tabel
Viited
uurimisrühmad
valistab
plakat
Sidemed
sponsorid
Autor
Kasutusjuhend
ajakiri
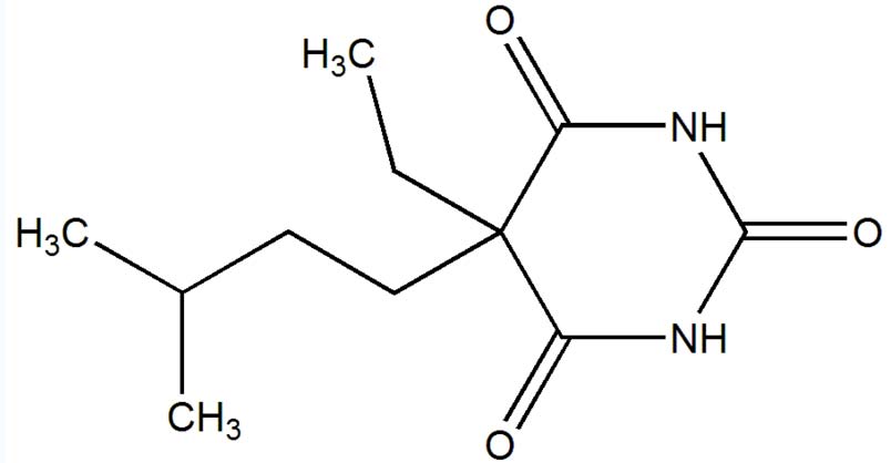
Amobarbital sodium
keemiline struktuur
Kaubanduslikud nimed erinevates maades
Preparaatide nimed on näitlikud ja abianete sisaldus võib erineda sõltuvalt riigist ja laborist
Amytal Sodium
Ameerika ühendriigid
Viited : Amobarbital sodium
tüüp
avaldamine
642
ajaleht
Baumgartner TG, Knudsen AK, Dunn AJ, Kilroy RA.
Norepinephrine stability in saline solutions.
Hosp Pharm 1988 ; 23: 44,49, 59.
3525
Labor
Pethidine hydrochloride - Summary of product Characteristics
AMCO Amdipharm Mercury 2012
3526
Labor
Clindamycin (Dalacin®) - Summary of Product Characteristics
Pharmacia 2010
3531
Labor
Morphine sulphate 10 mg/mL injection BP – Summary of Product Characteristics
Wockhardt 2014
3588
Labor
Vancomycine (Vancocin®) - Résumé des caractéristiques du produit
Sandoz 2011
3631
Labor
Suxamethonium (Suxamethonium Aguettant®) - Résumé des caractéristiques du produit
Aguettant 2016
3674
Labor
Erythromycin lactobionate - Summary of Product Characteristics
PanPharma 2016
3676
Labor
Atracurium bésilate (Atracurium Hospira®) - Résumé des caractéristiques du produit
Hospira 2014
4009
Labor
Droperidol - Résumé des Caractéristiques du Produit
Panpharma 2017
4377
ajaleht
Monsein L.H, Miller T.J, Kuwahara S.K, Sostre S, Debrun G.M.
Ionic lodinated Contrast Medium and Amobarbital Sodium Mixtures: Potential for Precipitation.
Radiology 1992 ; 184: 385-387.
4700
Labor
Esketamine 25 mg/mL solution for injection/infusion. - Summary of Product Characteristics
AS Kalceks 2022
Mentions Légales