Seneste opdatering :
05/12/2025
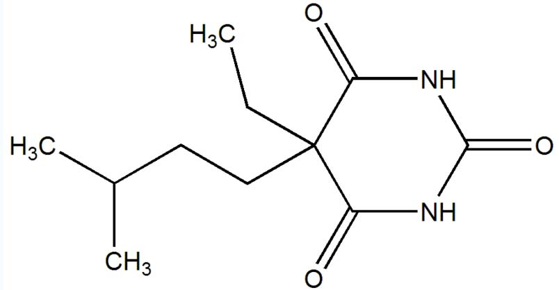
Generel anæstesi   Amobarbital sodium  
Injektion
Stabilitet i (vandige) opløsninger Stabilitet i blandinger Faktorer der påvirker stabiliteten Kompatibilitet Administrationsvej Bibliografi pdf
   Kemisk struktur  

Handelsnavn   Handelsnavn     

Handel navne er vejledende og hjælpestoffer sammensætning kan være forskellig afhængigt af landet og laboratorier

Amytal Sodium USA
Bibliografi   Injektion   Bibliografi : Amobarbital sodium  

  Mentions Légales