Siste oppdatering :
03/03/2026
Generell anestesi   Amobarbital sodium  
Injeksjon
Oppløsningsstabilitet Stabilitet i blandinger Faktorer som påvirker stabiliteten Kompatibilitet Administrasjonsmåte Referanser pdf
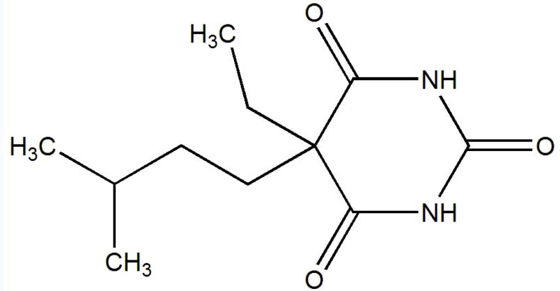
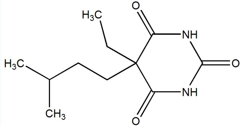
   Kjemisk struktur  

Handelsnavn   Handelsnavn     

Handelsnavn er veiledende og sammensetning av hjelpestoffer kan være forskjellig avhengig av land og produsent

Amytal Sodium USA
Referanser   Injeksjon   Referanser : Amobarbital sodium  

  Mentions Légales