Последнее обновление :
17/12/2025
Общий наркоз, общая анестезия   Amobarbital sodium  
Инъекция
Стабильность растворов Стабильность смесей Факторы, которые влияют на стабильность Совместимость Способы введения Библиография pdf
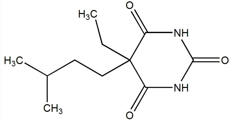
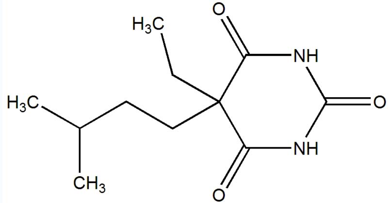
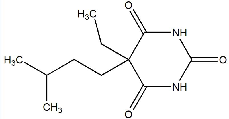
   Химическая структура  

Товарное название   Товарное название     

Trade names are indicative and excipients composition can be different depending on the country and manufacturers

Amytal Sodium Соединённые Штаты Америки

Факторы, которые влияют на стабильность   Инъекция   Факторы, которые влияют на стабильность : Amobarbital sodium        
данных нет

  Mentions Légales