Последнее обновление :
05/12/2025
Общий наркоз, общая анестезия   Amobarbital sodium  
Инъекция
Стабильность растворов Стабильность смесей Факторы, которые влияют на стабильность Совместимость Способы введения Библиография pdf
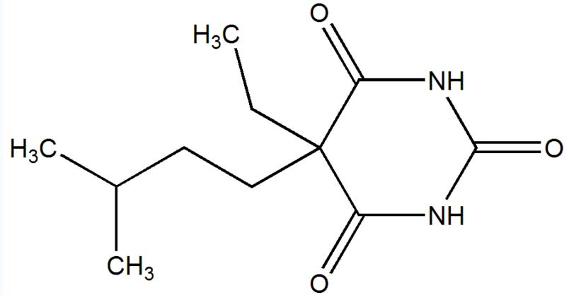
   Химическая структура  

Товарное название   Товарное название     

Trade names are indicative and excipients composition can be different depending on the country and manufacturers

Amytal Sodium Соединённые Штаты Америки
Библиография   Инъекция   Библиография : Amobarbital sodium  
тип публикация
642 Журнал Baumgartner TG, Knudsen AK, Dunn AJ, Kilroy RA.
Norepinephrine stability in saline solutions.
Hosp Pharm 1988 ; 23: 44,49, 59.
3525 Лаборатория Pethidine hydrochloride - Summary of product Characteristics
AMCO Amdipharm Mercury 2012
3526 Лаборатория Clindamycin (Dalacin®) - Summary of Product Characteristics
Pharmacia 2010
3531 Лаборатория Morphine sulphate 10 mg/mL injection BP – Summary of Product Characteristics
Wockhardt 2014
3588 Лаборатория Vancomycine (Vancocin®) - Résumé des caractéristiques du produit
Sandoz 2011
3631 Лаборатория Suxamethonium (Suxamethonium Aguettant®) - Résumé des caractéristiques du produit
Aguettant 2016
3674 Лаборатория Erythromycin lactobionate - Summary of Product Characteristics
PanPharma 2016
3676 Лаборатория Atracurium bésilate (Atracurium Hospira®) - Résumé des caractéristiques du produit
Hospira 2014
4009 Лаборатория
Droperidol - Résumé des Caractéristiques du Produit
Panpharma 2017
4377 Журнал Monsein L.H, Miller T.J, Kuwahara S.K, Sostre S, Debrun G.M.
Ionic lodinated Contrast Medium and Amobarbital Sodium Mixtures: Potential for Precipitation.
Radiology 1992 ; 184: 385-387.
4700 Лаборатория Esketamine 25 mg/mL solution for injection/infusion. - Summary of Product Characteristics
AS Kalceks 2022

  Mentions Légales