آخر تحديث :
05/12/2025
Infostab
قائمة المركبات
ملخص القوائم
ابحث عن التوافق
جدول توافق موقع ص
مراجع
فرق البحث
valistab
الملصق
الروابط
الرعاة
الكتاب
دليل المستخدم
النشرة الإخبارية
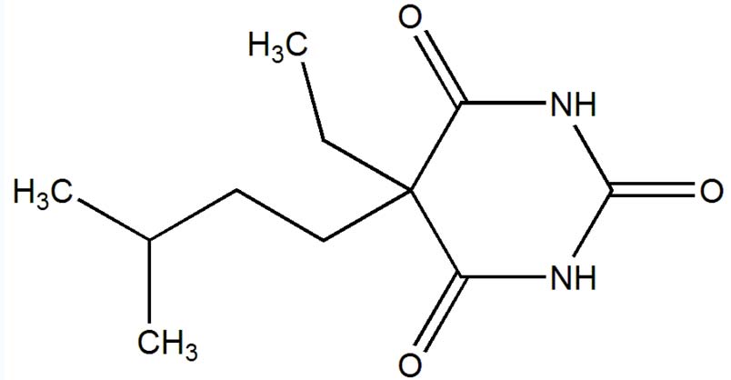
Amobarbital sodium
التركيب الكيميائي
حجز الاسم التجاري
تحذير الأسماء التجاريه المختلفه قد تحتوي علي محتوي إضافات مختلفة حسب الدوله و المعمل
Amytal Sodium
الولايات المتحدة
مراجع : Amobarbital sodium
نوع
منشور
642
مجلة
Baumgartner TG, Knudsen AK, Dunn AJ, Kilroy RA.
Norepinephrine stability in saline solutions.
Hosp Pharm 1988 ; 23: 44,49, 59.
3525
مختبر
Pethidine hydrochloride - Summary of product Characteristics
AMCO Amdipharm Mercury 2012
3526
مختبر
Clindamycin (Dalacin®) - Summary of Product Characteristics
Pharmacia 2010
3531
مختبر
Morphine sulphate 10 mg/mL injection BP – Summary of Product Characteristics
Wockhardt 2014
3588
مختبر
Vancomycine (Vancocin®) - Résumé des caractéristiques du produit
Sandoz 2011
3631
مختبر
Suxamethonium (Suxamethonium Aguettant®) - Résumé des caractéristiques du produit
Aguettant 2016
3674
مختبر
Erythromycin lactobionate - Summary of Product Characteristics
PanPharma 2016
3676
مختبر
Atracurium bésilate (Atracurium Hospira®) - Résumé des caractéristiques du produit
Hospira 2014
4009
مختبر
Droperidol - Résumé des Caractéristiques du Produit
Panpharma 2017
4377
مجلة
Monsein L.H, Miller T.J, Kuwahara S.K, Sostre S, Debrun G.M.
Ionic lodinated Contrast Medium and Amobarbital Sodium Mixtures: Potential for Precipitation.
Radiology 1992 ; 184: 385-387.
4700
مختبر
Esketamine 25 mg/mL solution for injection/infusion. - Summary of Product Characteristics
AS Kalceks 2022
Mentions Légales