Τελευταία ενημέρωση :
03/03/2026
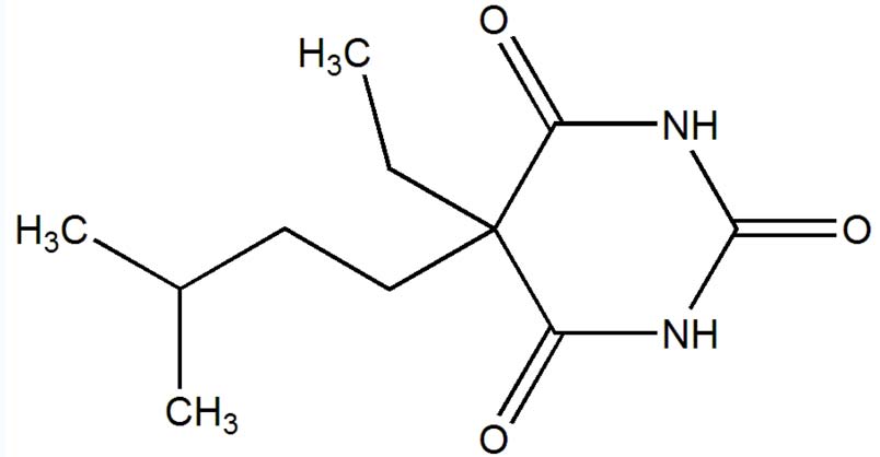
Γενικό αναισθητικό   Amobarbital sodium  
Ενέσιμο
Σταθερότητα διαλυμάτων Σταθερότητα σε μίγματα Παράγοντας που επηρεάζει τη σταθερότητα Συμβατότητες Τρόπος χορήγησης Βιβλιογραφία pdf
   χημική δομή  

Εμπορική ονομασία   Εμπορική ονομασία     

Οι εμπορικές ονομασίες είναι ενδεικτικές και η σύνθεση των εκδόχων μπορεί να διαφέρει ανάλογα με τη χώρα και τα εργαστήρια

Amytal Sodium Η.Π.Α.
Βιβλιογραφία   Ενέσιμο   Βιβλιογραφία : Amobarbital sodium  
τύπος δημοσίευση
642 εφημερίδα Baumgartner TG, Knudsen AK, Dunn AJ, Kilroy RA.
Norepinephrine stability in saline solutions.
Hosp Pharm 1988 ; 23: 44,49, 59.
3525 Εργαστήριο Pethidine hydrochloride - Summary of product Characteristics
AMCO Amdipharm Mercury 2012
3526 Εργαστήριο Clindamycin (Dalacin®) - Summary of Product Characteristics
Pharmacia 2010
3531 Εργαστήριο Morphine sulphate 10 mg/mL injection BP – Summary of Product Characteristics
Wockhardt 2014
3588 Εργαστήριο Vancomycine (Vancocin®) - Résumé des caractéristiques du produit
Sandoz 2011
3631 Εργαστήριο Suxamethonium (Suxamethonium Aguettant®) - Résumé des caractéristiques du produit
Aguettant 2016
3674 Εργαστήριο Erythromycin lactobionate - Summary of Product Characteristics
PanPharma 2016
3676 Εργαστήριο Atracurium bésilate (Atracurium Hospira®) - Résumé des caractéristiques du produit
Hospira 2014
4009 Εργαστήριο
Droperidol - Résumé des Caractéristiques du Produit
Panpharma 2017
4377 εφημερίδα Monsein L.H, Miller T.J, Kuwahara S.K, Sostre S, Debrun G.M.
Ionic lodinated Contrast Medium and Amobarbital Sodium Mixtures: Potential for Precipitation.
Radiology 1992 ; 184: 385-387.
4700 Εργαστήριο Esketamine 25 mg/mL solution for injection/infusion. - Summary of Product Characteristics
AS Kalceks 2022

  Mentions Légales