Pēdējā atjaunošana :
05/12/2025
Infostab
Saraksti
Kopsavilkums
Meklēt saderības
Y-savienojuma saderības tabula
Literatūras saraksts
pētniecības grupas
valistab
plakāts
Savienojumi
sponsori
Autori
Lietošanas instrukcija
Newsletter
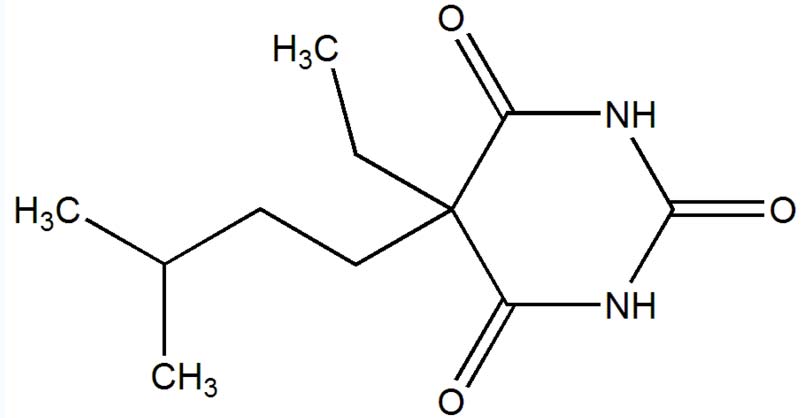
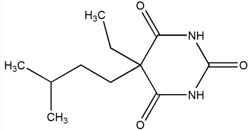
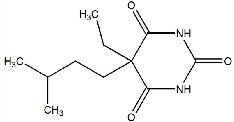
Amobarbital sodium
Ķīmiskā uzbūve
Oriģinālais nosaukums
Tirdzniecības nosaukumi ir apzīmējoši un palīgvielas var atšķirties dažādām valstīm un laboratorijām
Amytal Sodium
Amerikas Savienotās Valstis
Literatūras saraksts : Amobarbital sodium
tips
publicēšana
642
Žurnāls
Baumgartner TG, Knudsen AK, Dunn AJ, Kilroy RA.
Norepinephrine stability in saline solutions.
Hosp Pharm 1988 ; 23: 44,49, 59.
3525
Laboratorija
Pethidine hydrochloride - Summary of product Characteristics
AMCO Amdipharm Mercury 2012
3526
Laboratorija
Clindamycin (Dalacin®) - Summary of Product Characteristics
Pharmacia 2010
3531
Laboratorija
Morphine sulphate 10 mg/mL injection BP – Summary of Product Characteristics
Wockhardt 2014
3588
Laboratorija
Vancomycine (Vancocin®) - Résumé des caractéristiques du produit
Sandoz 2011
3631
Laboratorija
Suxamethonium (Suxamethonium Aguettant®) - Résumé des caractéristiques du produit
Aguettant 2016
3674
Laboratorija
Erythromycin lactobionate - Summary of Product Characteristics
PanPharma 2016
3676
Laboratorija
Atracurium bésilate (Atracurium Hospira®) - Résumé des caractéristiques du produit
Hospira 2014
4009
Laboratorija
Droperidol - Résumé des Caractéristiques du Produit
Panpharma 2017
4377
Žurnāls
Monsein L.H, Miller T.J, Kuwahara S.K, Sostre S, Debrun G.M.
Ionic lodinated Contrast Medium and Amobarbital Sodium Mixtures: Potential for Precipitation.
Radiology 1992 ; 184: 385-387.
4700
Laboratorija
Esketamine 25 mg/mL solution for injection/infusion. - Summary of Product Characteristics
AS Kalceks 2022
Mentions Légales