Viimeisin päivitys :
18/03/2026
Antibiootit   Erythromycin lactobionate  
Injektioneste
Stabilius liuoksessa Stabilius seoksissa Tekijät, jotka vaikuttavat stabiliuteen Yhteensopivuus Antotapa Viitteet pdf
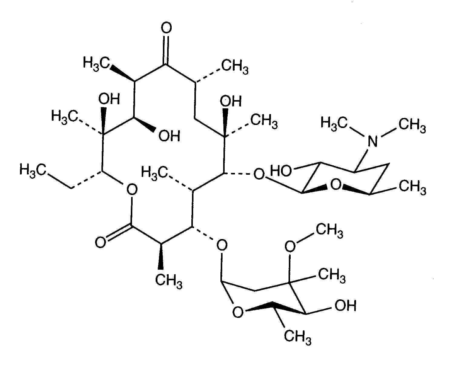
   Kemiallinen rakenne  

Kauppanimi   Kauppanimi     

Trade names are indicative and excipients composition can be different depending on the country and manufacturers

Abboticin Norja, Ruotsi, Suomi, Tanska
Eristin Argentiina
Erithromicina Chile
Erycinum Saksa
Erythrocin Australia, Irlanti, Iso-Britannia, Itävalta, Kanada, New Zealand, Saksa, Saudi-Arabia, Yhdysvallat
Erythrocin lactobionat ADD Vantage Australia, Itävalta
Erythrocine Belgia, Hollanti, Luxemburg, Ranska, Tunisia
Erythromycin Iso-Britannia, Saksa, Saudi-Arabia, Unkari, Yhdysvallat
Erythromycine Luxemburg
Erythromycinum Puola
Pantomicina Chile, Espanja
Stabilius liuoksessa   Injektioneste   Stabilius liuoksessa : Erythromycin lactobionate     
Astia Liuotin Konsentraatio Lämpötila Säilytys Vakauden kesto Viitteet
Lasi Injektionesteisiin käytettävä vesi 50 mg/ml 2-8°C Ei määritetty
24 tunti
3674
Valmistajan antamat stabiiliustiedot

Polyvinyylikloridi Natriumkloridi 0,9% ? mg/ml 5°C Suojattava valolta
60 Päivä
1154
Näytön laajuus D

Polyvinyylikloridi Natriumkloridi 0,9% 10 mg/ml -20°C Suojattava valolta
30 Päivä
573
Biologinen menetelmä

Polyvinyylikloridi Natriumkloridi 0,9% 4,54 mg/ml -20°C Suojattava valolta
365 Päivä
22
Näytön laajuus A+

Polyvinyylikloridi Glukoosi 5% 10 mg/ml -20°C Suojattava valolta
30 Päivä
573
Biologinen menetelmä


  Mentions Légales