Letztes “update” :
18/03/2026
Antibiotikum   Erythromycin lactobionate  
Injektion
Stabilität der Lösung Gemengestabilität Stabilitätbeeinflussende Faktoren Kompatibilitäten Applikationsart Literaturverzeichnis pdf
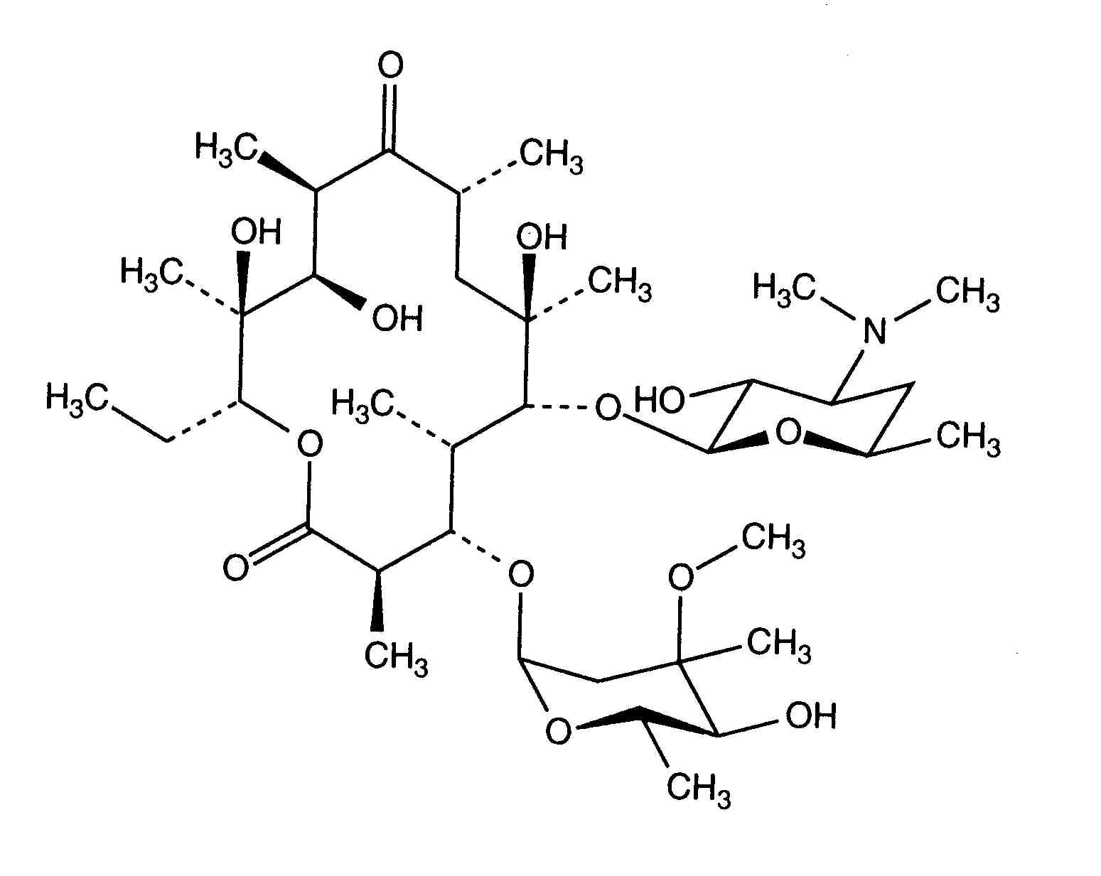
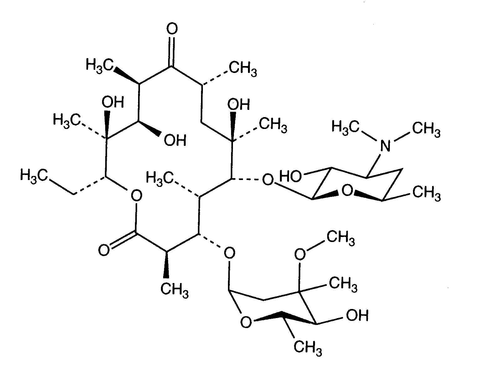
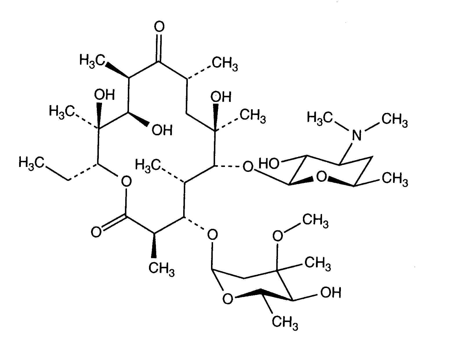
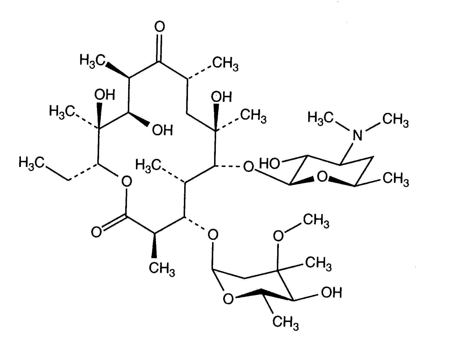
   Chemische Struktur  

Handelsmarke   Handelsmarke     

Handelsnamen sind als beispielhaft anzusehen. Sonstige Bestandteile können je nach Hersteller oder Land verschieden sein

Abboticin Dänemark, Finnland, Norwegen, Schweden
Eristin Argentinien
Erithromicina Chile
Erycinum Deutschland
Erythrocin Australien, Deutschland, Großbritannien, Irland, Kanada, Neuseeland, Österreich, Saudi-Arabien, Vereinigte Staaten von Amerika
Erythrocin lactobionat ADD Vantage Australien, Österreich
Erythrocine Belgien, Frankreich, Luxemburg, Niederlande, Tunesien
Erythromycin Deutschland, Großbritannien, Saudi-Arabien, Ungarn, Vereinigte Staaten von Amerika
Erythromycine Luxemburg
Erythromycinum Polen
Pantomicina Chile, Spanien
Stabilität der Lösung   Injektion   Stabilität der Lösung : Erythromycin lactobionate     
Behälter Lösungsmittel Konzentration Temperatur Konservierung Dauer der Stabilität Literaturverzeichnis
Glas Wasser für injektable präparate 50 mg/ml 2-8°C Nicht genau angegeben
24 Stunde
3674
Stabilitätsdaten des Herstellers

Polyvinylchlorid 0,9% Natriumchlorid ? mg/ml 5°C Ohne Licht
60 Tag
1154
Evidenzgrad D

Polyvinylchlorid 0,9% Natriumchlorid 10 mg/ml -20°C Ohne Licht
30 Tag
573
Biologische Analysen

Polyvinylchlorid 0,9% Natriumchlorid 4,54 mg/ml -20°C Ohne Licht
365 Tag
22
Evidenzgrad A+

Polyvinylchlorid 5% Glucose 10 mg/ml -20°C Ohne Licht
30 Tag
573
Biologische Analysen


  Mentions Légales