Последно актуализиране :
16/12/2025
Антибиотик   Erythromycin lactobionate  
Инжекция/Инжекционен
Стабилност на разтвори Стабилност на смеси Фактори, повлияващи стабилността Съвместимост Път на въвеждане Библиография Pdf
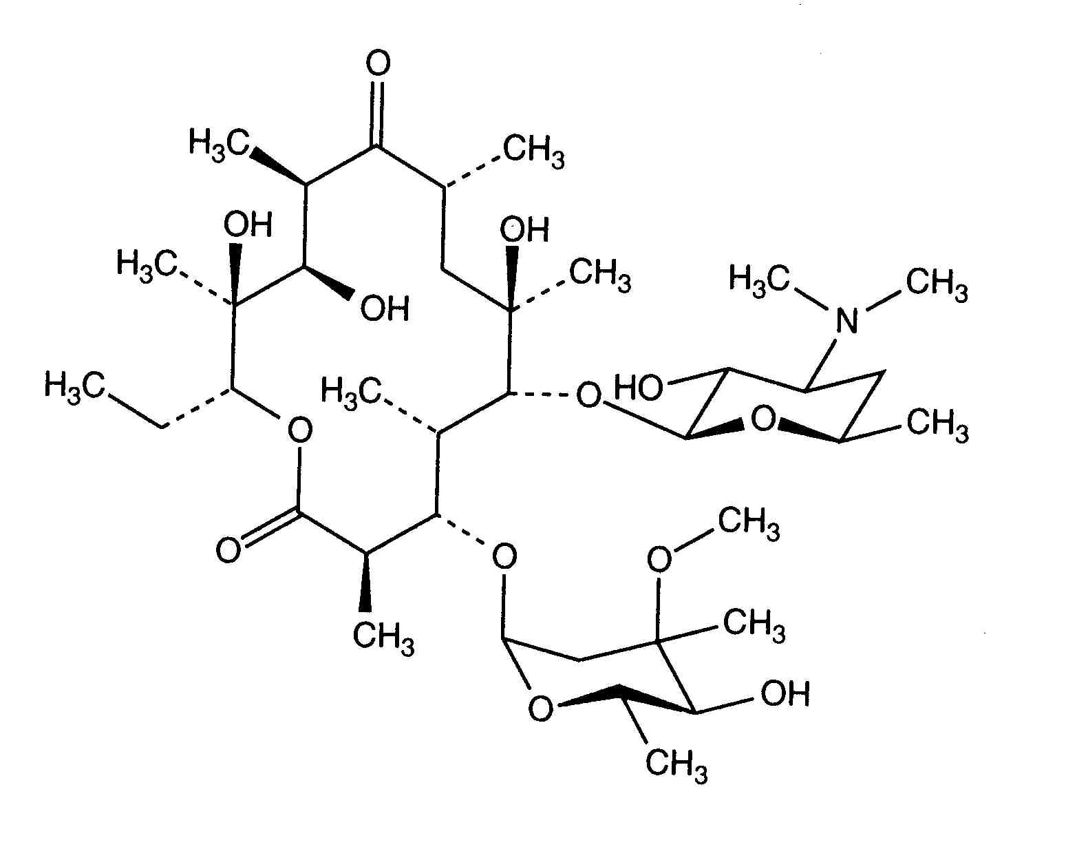
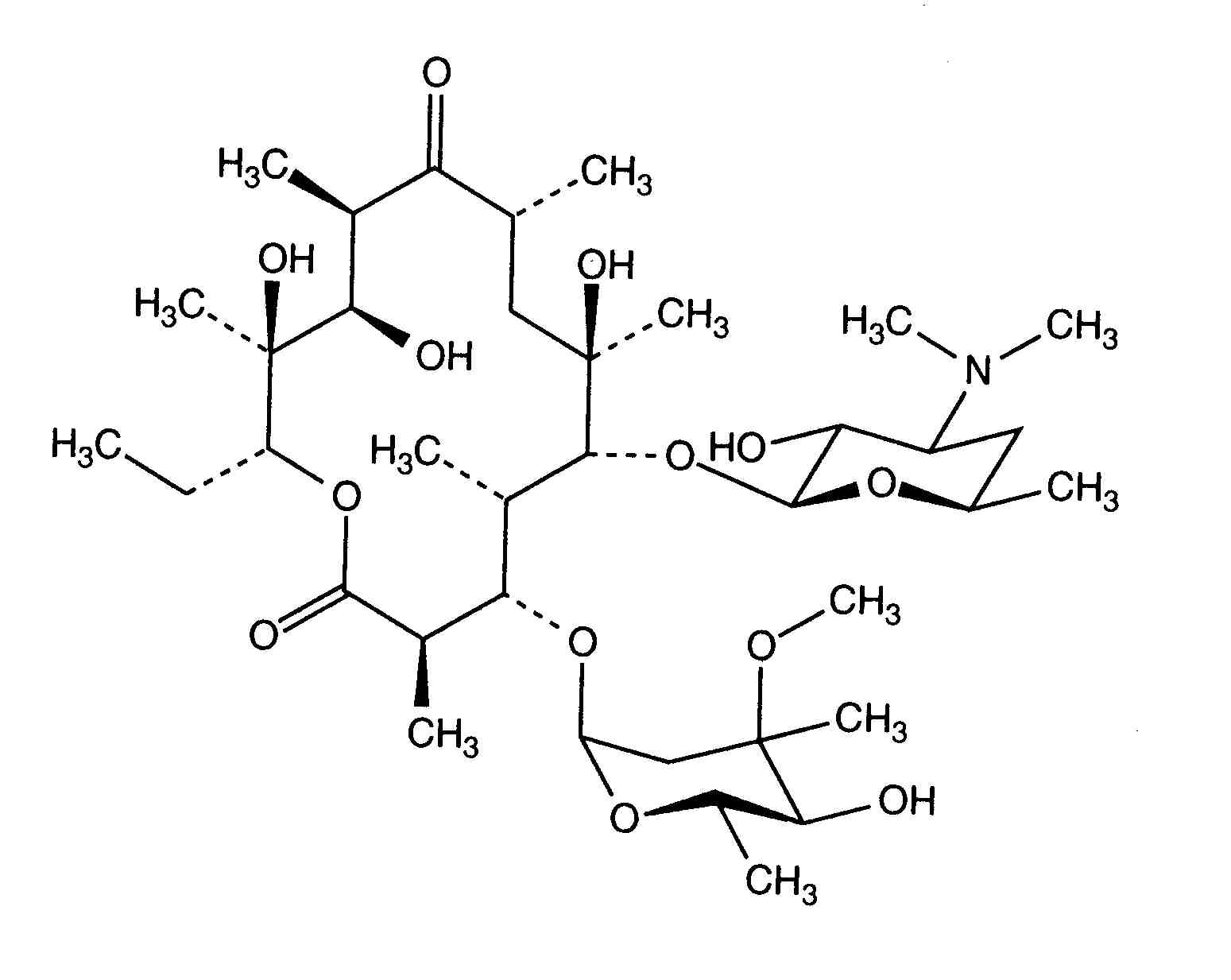
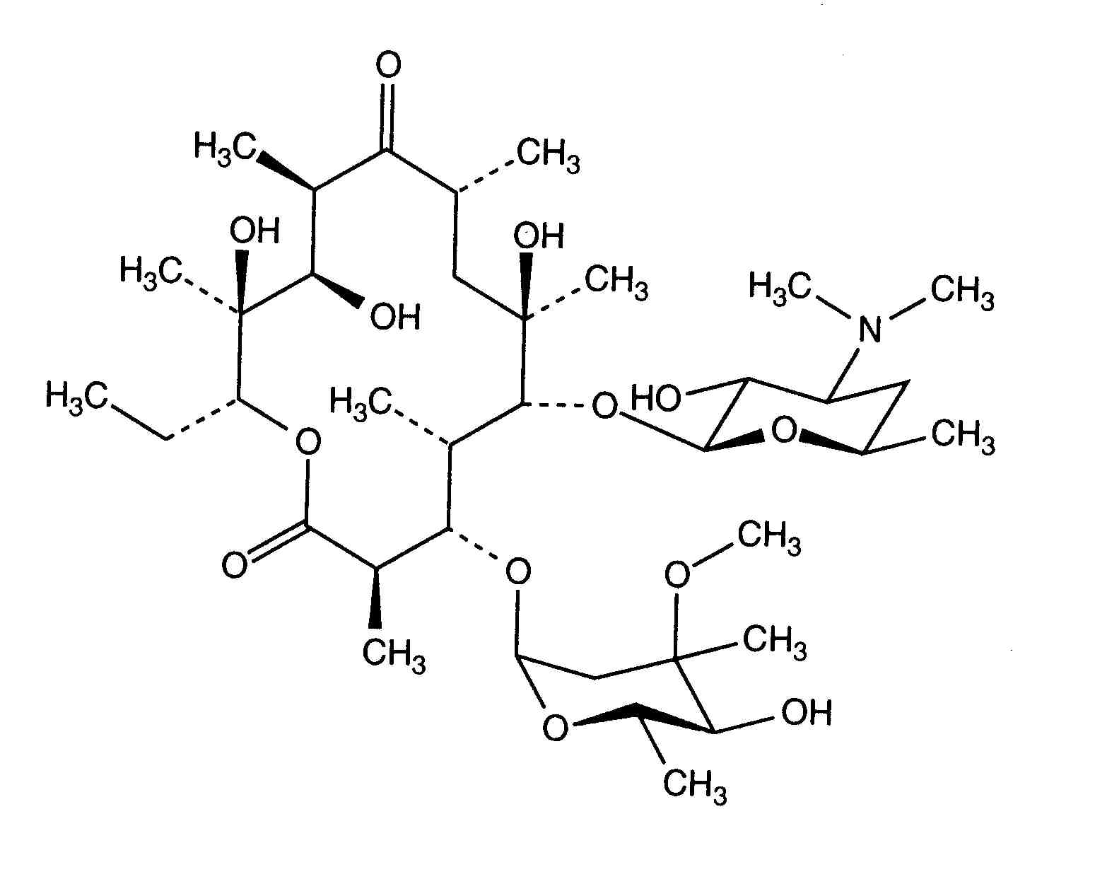
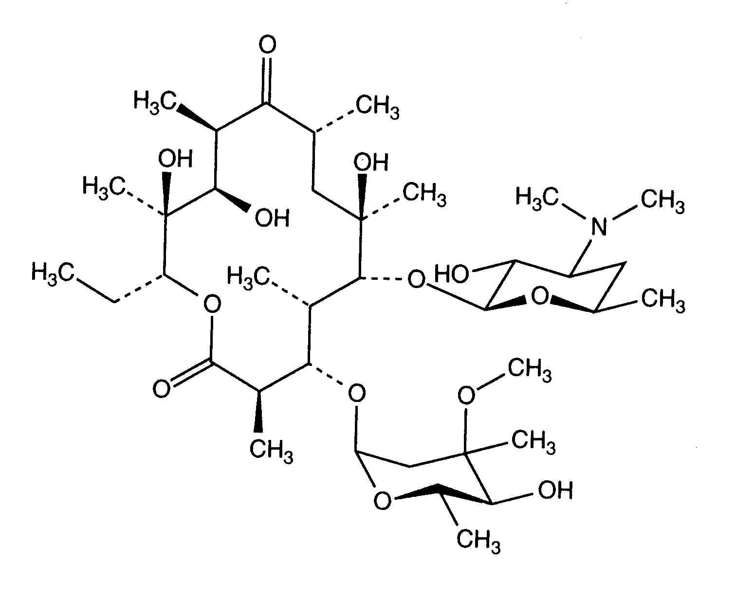
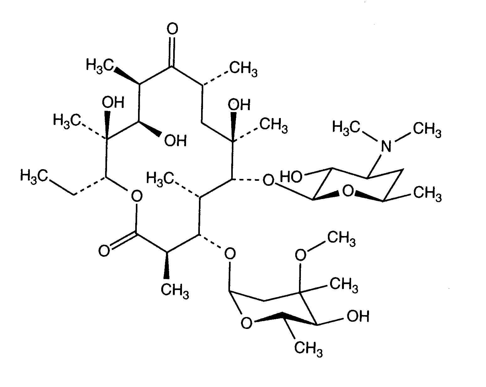
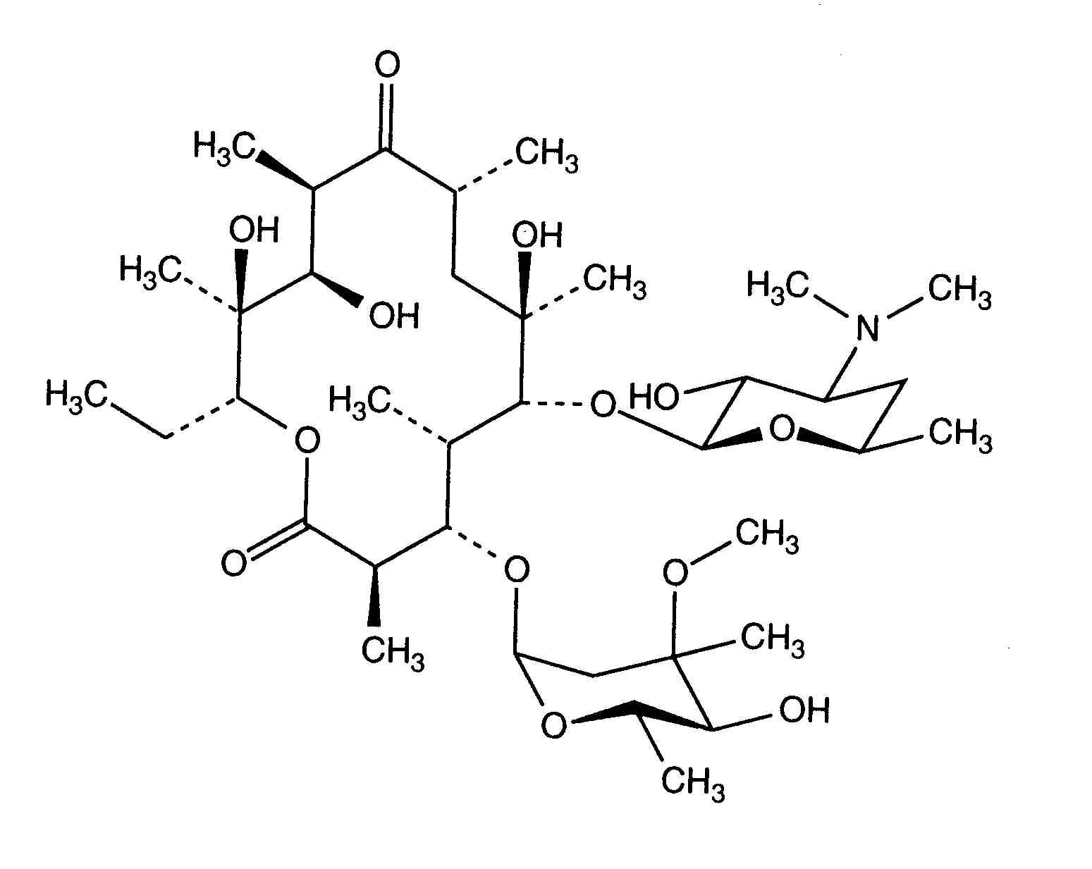
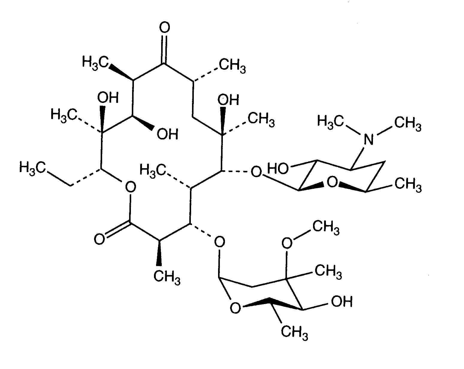
   Химична структура  

Търговско наименование   Търговско наименование     

Търговските имена са примерни и съставът на помощните вещества може да бъде различен в зависимост от държавата и лабораториите

Abboticin Дания, Норвегия, Финландия, Швеция
Eristin Аржентина
Erithromicina Чили
Erycinum Германия
Erythrocin Австралия, Австрия, Великобритания, Германия, Ирландия, Канада, нова Зеландия, Саудитска Арабия, Съединени Американски щати / САЩ
Erythrocin lactobionat ADD Vantage Австралия, Австрия
Erythrocine Белгия, Люксенбург, Тунис, Франция, Холандия
Erythromycin Великобритания, Германия, Саудитска Арабия, Съединени Американски щати / САЩ, Унгария
Erythromycine Люксенбург
Erythromycinum Полша
Pantomicina Испания, Чили
Стабилност на разтвори   Инжекция/Инжекционен   Стабилност на разтвори : Erythromycin lactobionate     
Контейнер Разтворител Концентрация Температура Съхранение Продължителност на стабилността Библиография
Стъкло Вода за инжекции 50 mg/ml 2-8°C Не е уточнено
24 Час
3674
Данни за стабилност на производителя

Поливинил хлорид Sodium chloride 0,9% ? mg/ml 5°C Защита от светлина
60 Ден
1154
Степен на доказаност D

Поливинил хлорид Sodium chloride 0,9% 10 mg/ml -20°C Защита от светлина
30 Ден
573
Биологичен анализ

Поливинил хлорид Sodium chloride 0,9% 4,54 mg/ml -20°C Защита от светлина
365 Ден
22
Степен на доказаност A+

Поливинил хлорид Glucose 5% 10 mg/ml -20°C Защита от светлина
30 Ден
573
Биологичен анализ


  Mentions Légales