Zadnji put ažurirano :
18/03/2026
antibiotik   Erythromycin lactobionate  
injekcija
Stabilizacija rješenja Stabilnost mješavine Stabilizacijski faktor Kompatibilnosti način davanja lijeka Bibliografija pdf
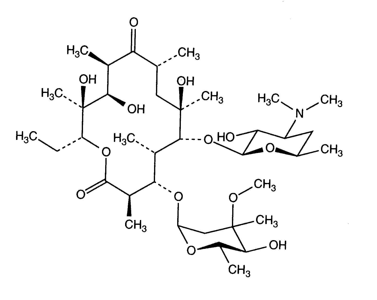
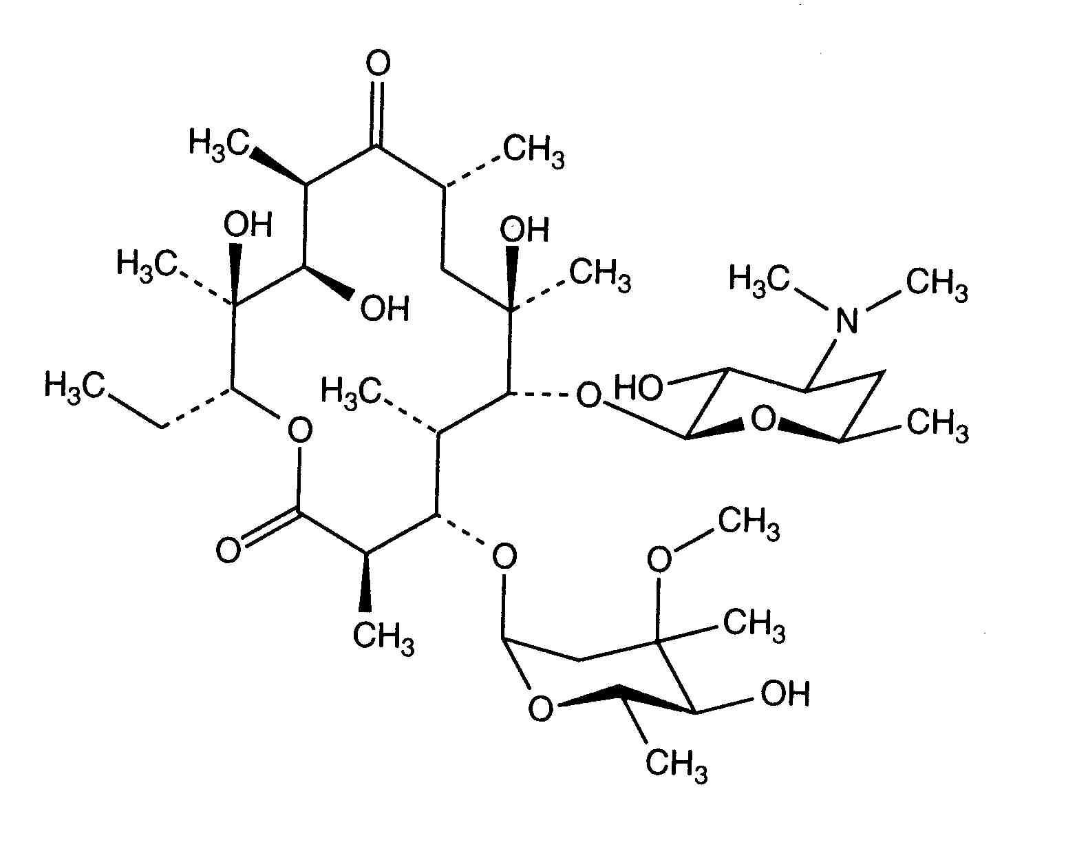
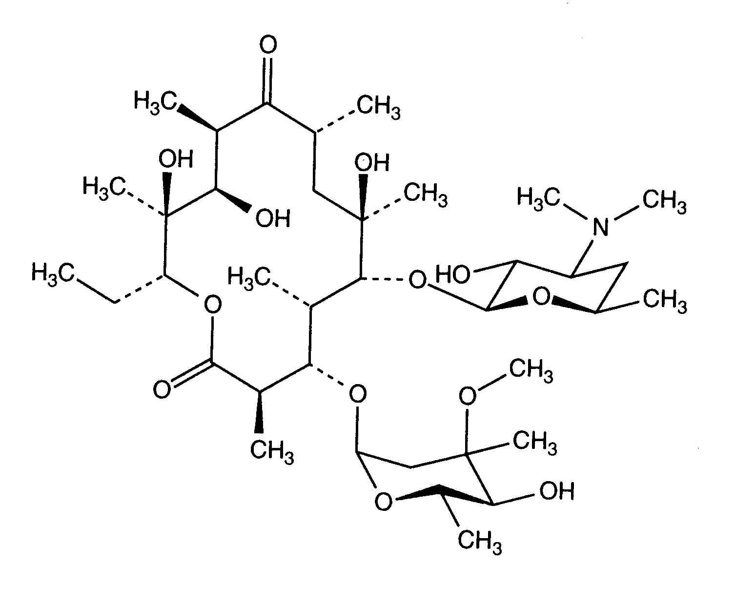
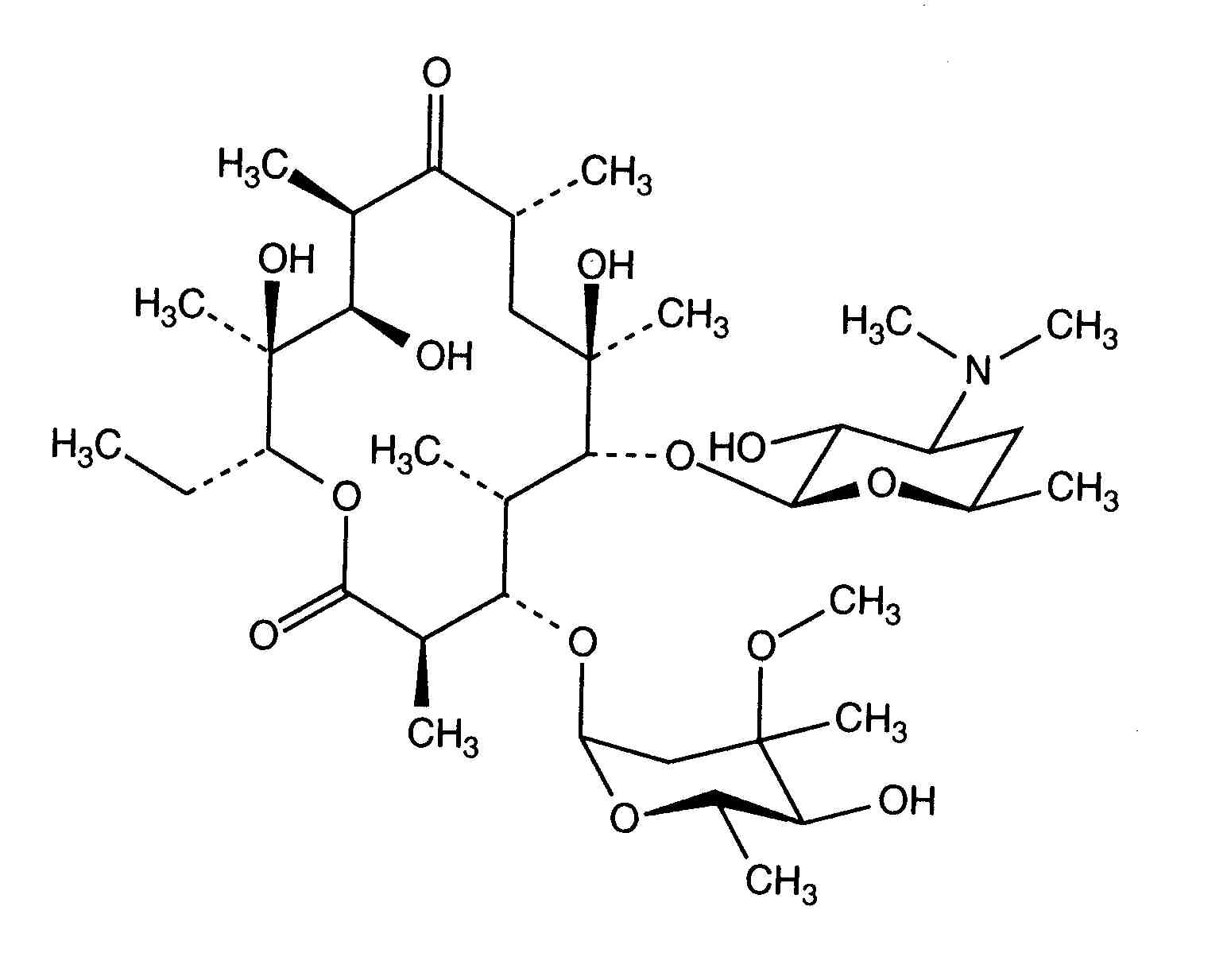
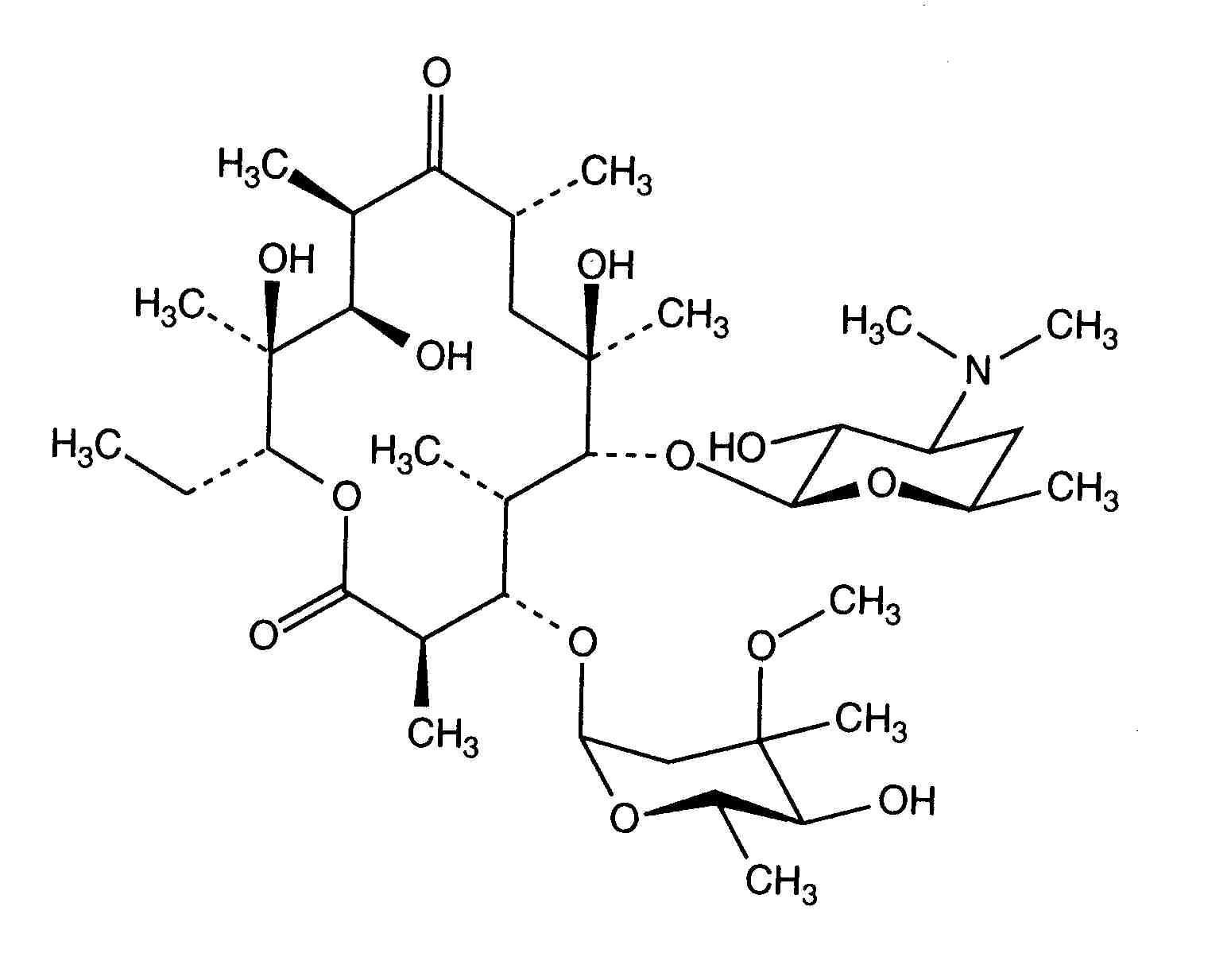
   Kemijska struktura  

Nekomercijalni   Nekomercijalni     

Zaštićeni nazivi su indikativni i sastav ekscipijensa može biti različit ovisno o državi i laboratorijima

Abboticin Danska, Finska, Norveška, Švedska
Eristin Argentina
Erithromicina Čile
Erycinum Njemačka
Erythrocin Australija, Austrija, Irska, Kanada, Njemačka, novi Zeland, S A D, Saudijska Arabija, Velika Britanija
Erythrocin lactobionat ADD Vantage Australija, Austrija
Erythrocine Belgija, Francuska, Luksemburg, Nizozemska, Tunis
Erythromycin Madžarska, Njemačka, S A D, Saudijska Arabija, Velika Britanija
Erythromycine Luksemburg
Erythromycinum Poljska
Pantomicina Čile, Španjolska
Stabilizacija rješenja   injekcija   Stabilizacija rješenja : Erythromycin lactobionate     
Kontejner sredstvo za rastapanje koncentracija temperatura Konzerviranje Trajanje stabilnosti Bibliografija
čaša čista voda za injektiranje 50 mg/ml 2-8°C nespecifičan
24 sat
3674
Podaci proizvođača o stabilnosti

polivinilklorid natrijumkorid 0,9% ? mg/ml 5°C Zaštićeno od svjetlosti
60 dan
1154
Razina dokaza D

polivinilklorid natrijumkorid 0,9% 10 mg/ml -20°C Zaštićeno od svjetlosti
30 dan
573
Biološka metoda

polivinilklorid natrijumkorid 0,9% 4,54 mg/ml -20°C Zaštićeno od svjetlosti
365 dan
22
Razina dokaza A+

polivinilklorid glukoza 5% 10 mg/ml -20°C Zaštićeno od svjetlosti
30 dan
573
Biološka metoda


  Mentions Légales