Last update :
18/03/2026
Antibiotic   Erythromycin lactobionate  
injection
Stability in solutions Stability of mixtures Factors which affect stability Compatibility Route of administration References pdf
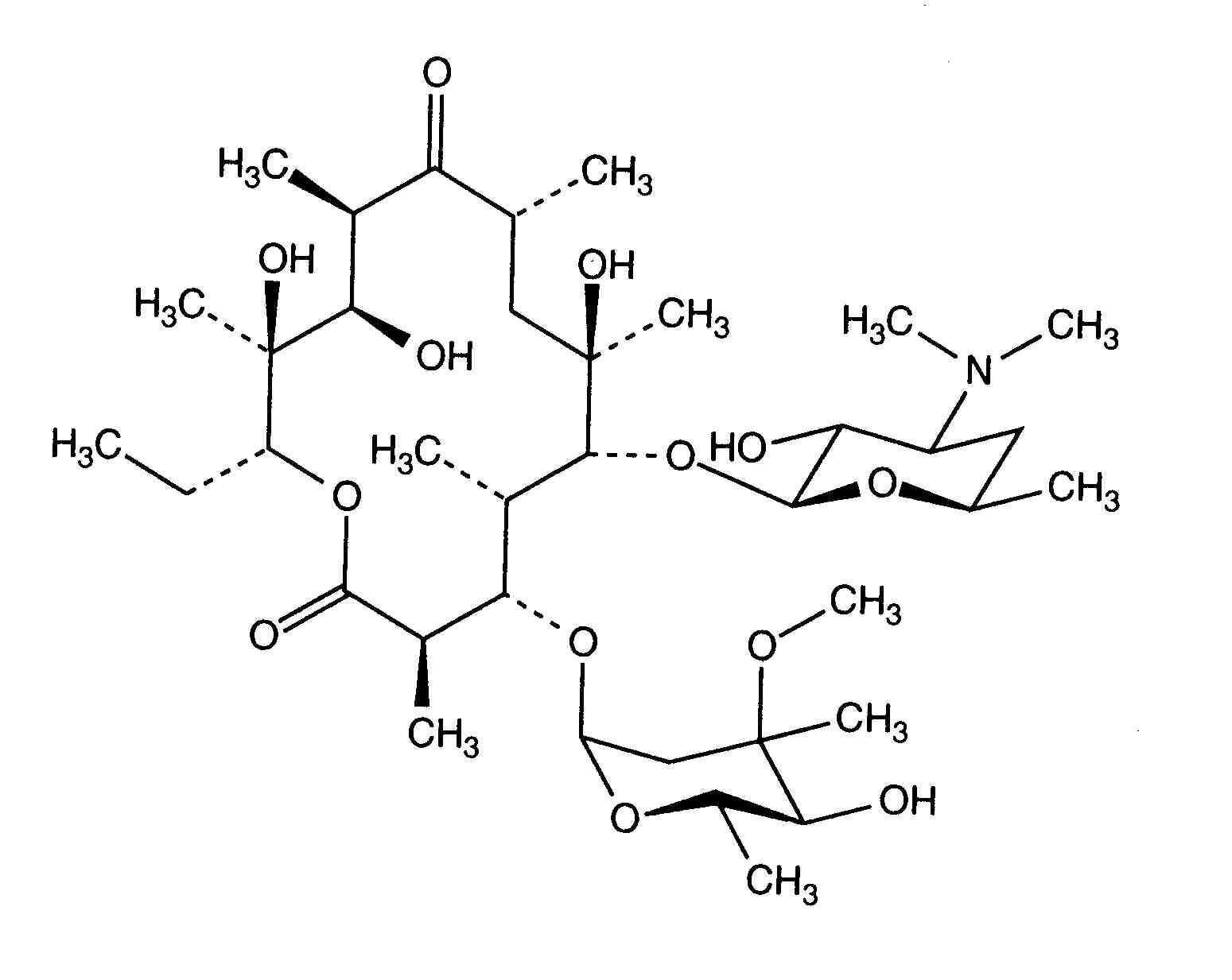
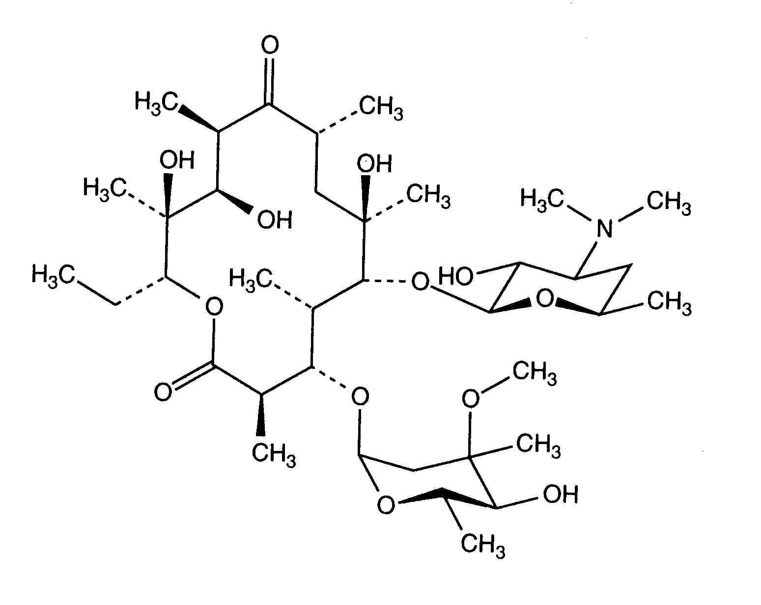
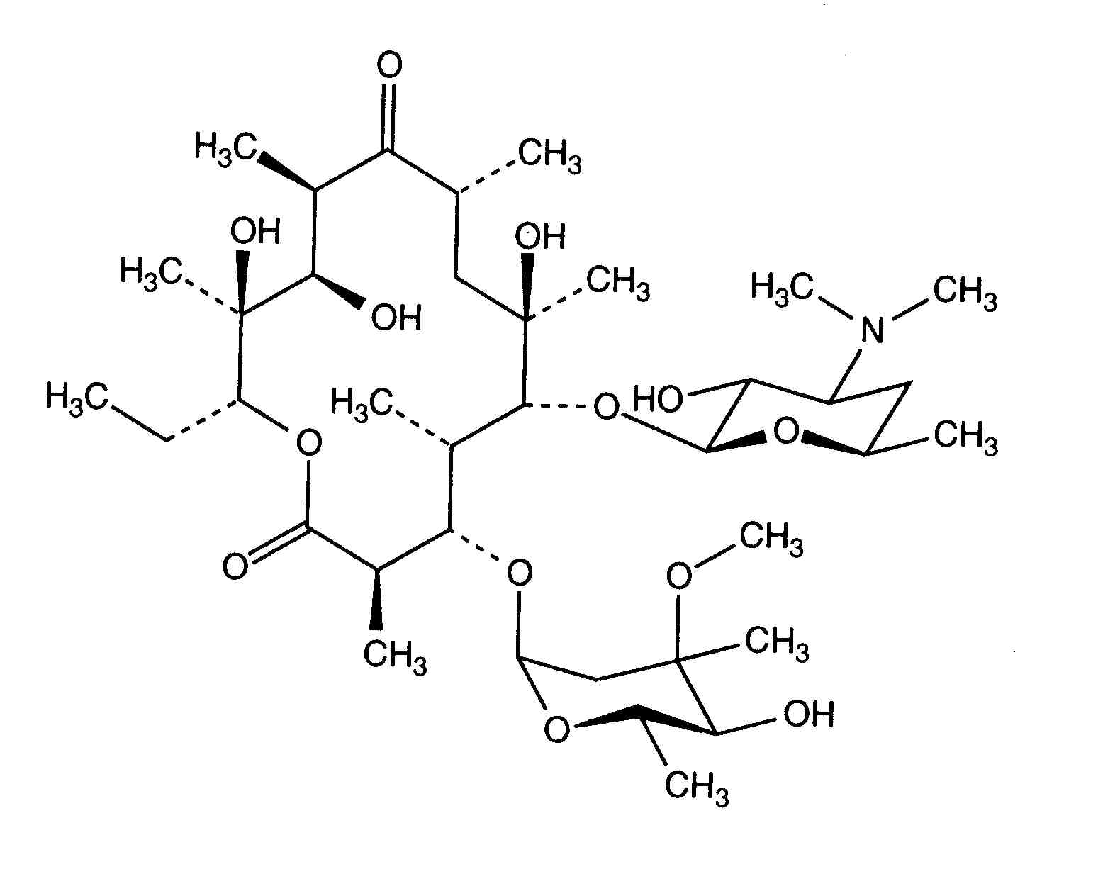
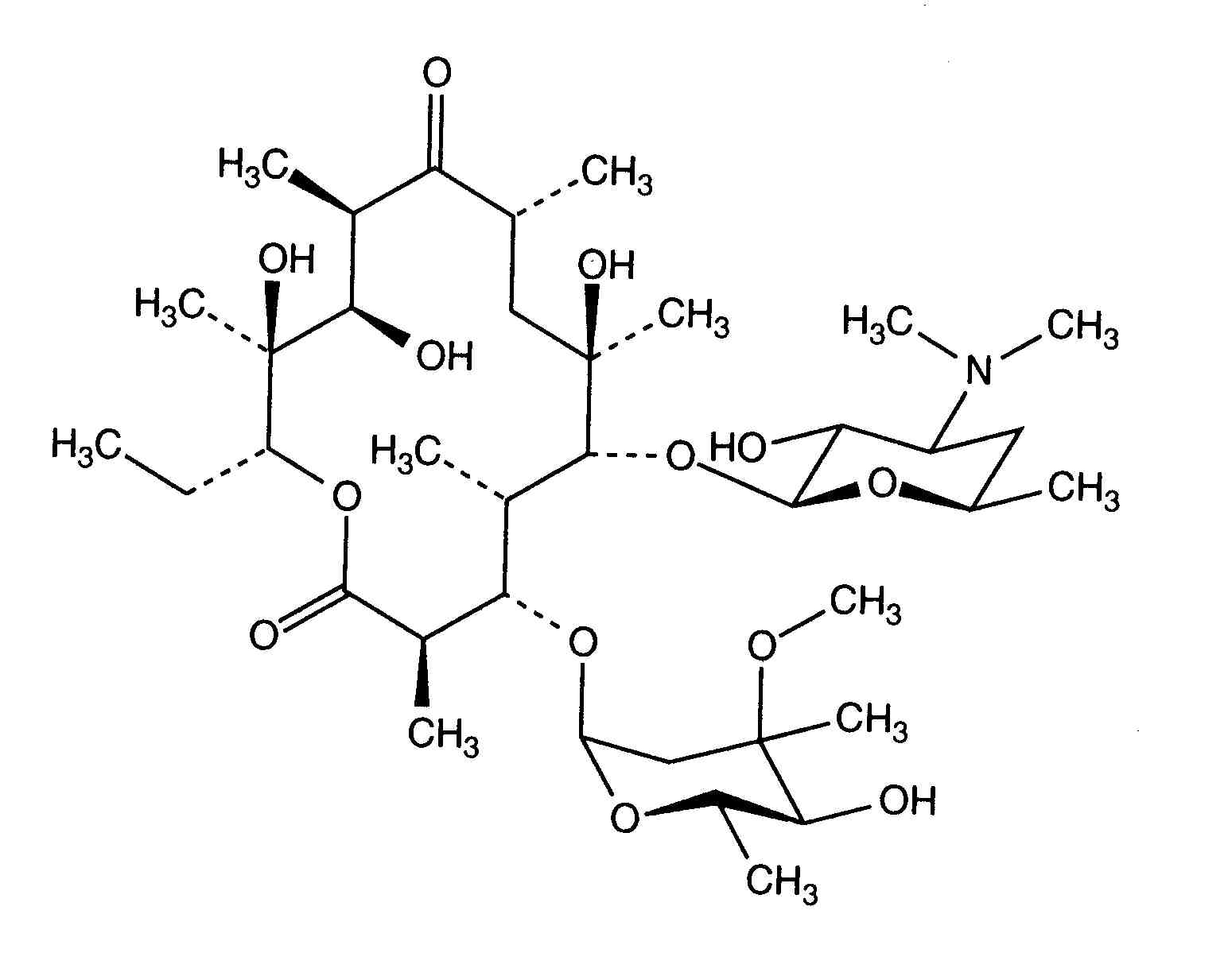
   Chemical structure  

Tradename   Tradename     

Trade names are indicative and excipients composition can be different depending on the country and manufacturers

Abboticin Denmark, Finland, Norway, Sweden
Eristin Argentina
Erithromicina Chile
Erycinum Germany
Erythrocin Australia, Austria, Canada, Germany, Great Britain, Ireland, New Zealand, Saudi Arabia, United States of America
Erythrocin lactobionat ADD Vantage Australia, Austria
Erythrocine Belgium, France, Luxembourg, Netherlands, Tunisia
Erythromycin Germany, Great Britain, Hungary, Saudi Arabia, United States of America
Erythromycine Luxembourg
Erythromycinum Poland
Pantomicina Chile, Spain
Stability in solutions   injection   Stability in solutions : Erythromycin lactobionate     
Container Solvent Concentration Temperature Storage Duration of stability References
Glass Water for Injection 50 mg/ml 2-8°C Not specified
24 Hour
3674
Manufacturer's stability data

Polyvinyl chloride Sodium chloride 0,9% ? mg/ml 5°C Protect from light
60 Day
1154
Level of evidence D

Polyvinyl chloride Sodium chloride 0,9% 10 mg/ml -20°C Protect from light
30 Day
573
Biological analysis

Polyvinyl chloride Sodium chloride 0,9% 4,54 mg/ml -20°C Protect from light
365 Day
22
Level of evidence A+

Polyvinyl chloride Glucose 5% 10 mg/ml -20°C Protect from light
30 Day
573
Biological analysis


  Mentions Légales