最新更新 :
27/11/2025
抗生素   Erythromycin lactobionate  
注射液
溶液稳定性 混合物稳定性 影响稳定性的因素 兼容性 用药途径 引用文献 PDF
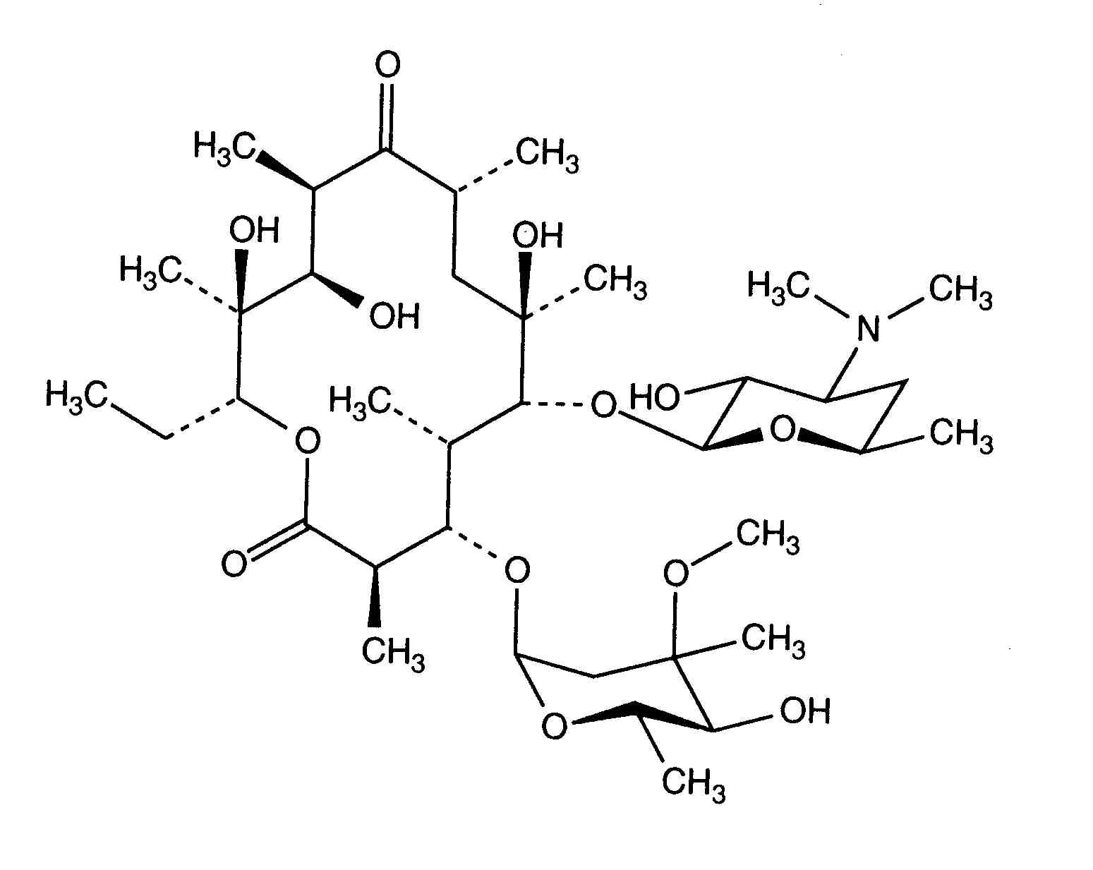
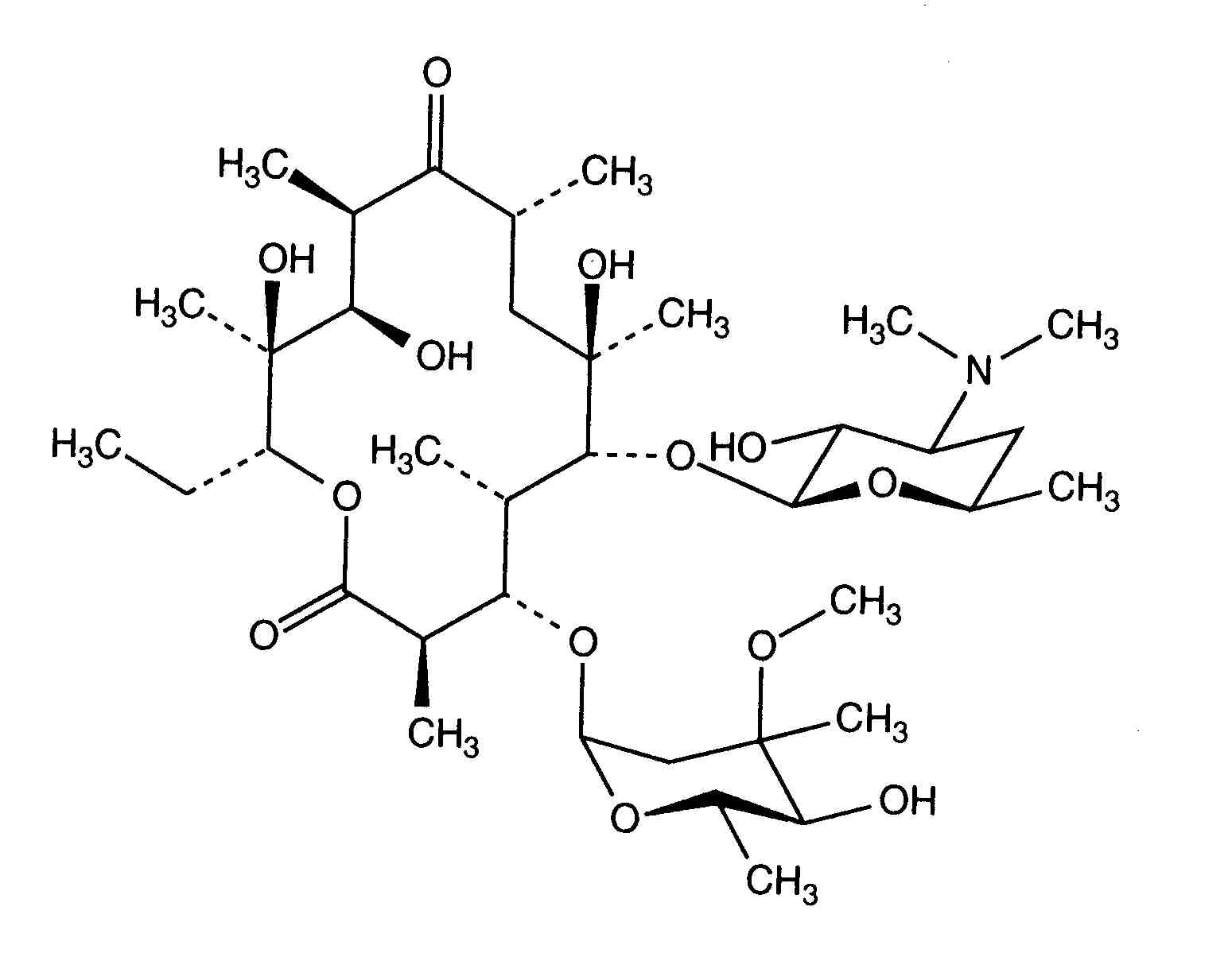
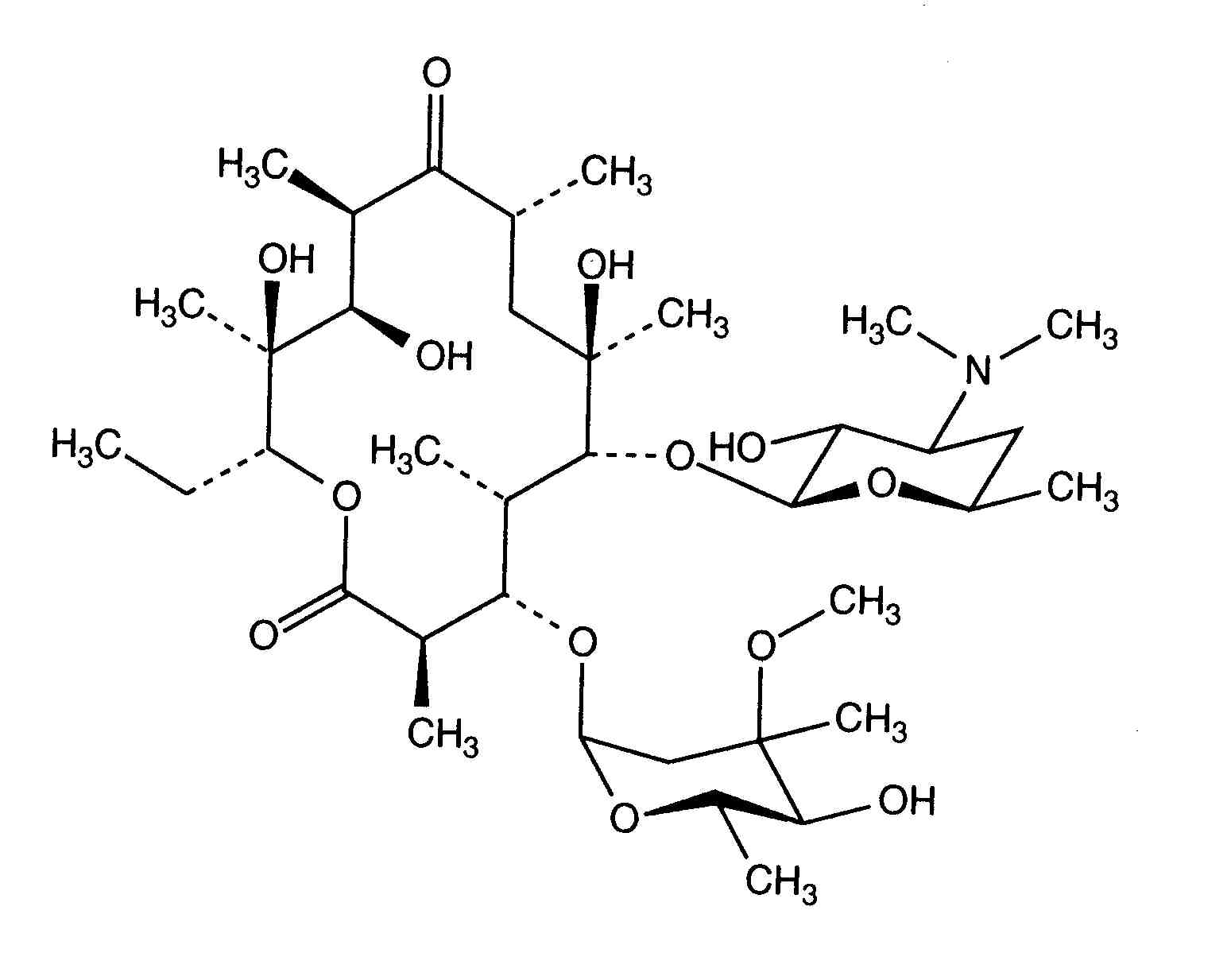
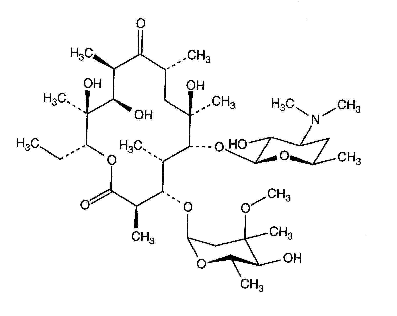
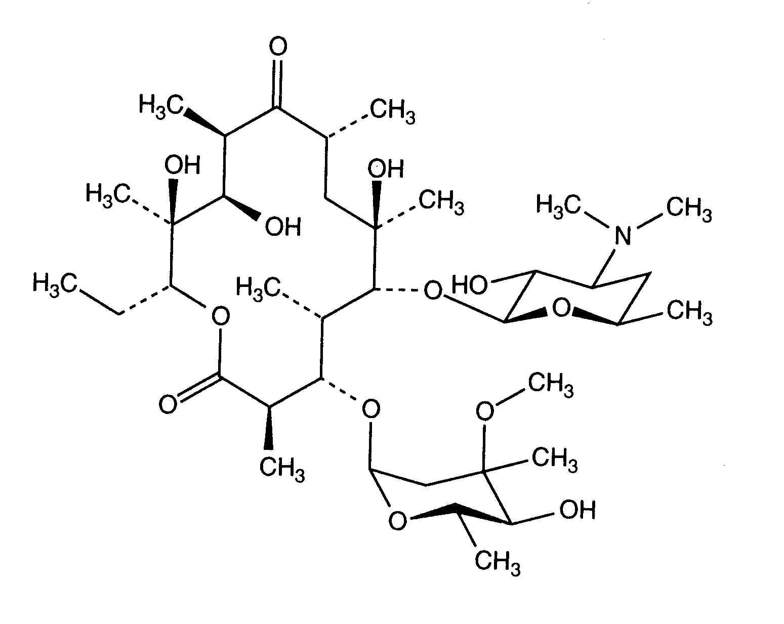
   化学式  

商品名   商品名     

商品名仅供参考, 药品所用的辅料可能依国家或厂商不同有所不同。

Abboticin 丹麦, 挪威, 瑞典, 芬兰
Eristin 阿根廷
Erithromicina 智利
Erycinum 德国
Erythrocin 加拿大, 奥地利, 德国, 新西蘭, 沙特阿拉伯, 澳大利亚, 爱尔兰, 美国, 英国
Erythrocin lactobionat ADD Vantage 奥地利, 澳大利亚
Erythrocine 卢森堡, 比利时, 法国, 突尼斯, 荷兰
Erythromycin 匈牙利, 德国, 沙特阿拉伯, 美国, 英国
Erythromycine 卢森堡
Erythromycinum 波兰
Pantomicina 智利, 西班牙
溶液稳定性   注射液   溶液稳定性 : Erythromycin lactobionate     
容器 溶剂 浓度 温度 保存 穩定持續時間 引用文献
玻璃 注射用水 50 mg/ml 2-8°C 无特殊要求
24 小时
3674
生产厂家提供的稳定性数据

聚氯乙烯 NaCl 0,9% ? mg/ml 5°C 避光
60 白天
1154
D级

聚氯乙烯 NaCl 0,9% 10 mg/ml -20°C 避光
30 白天
573
生物检测

聚氯乙烯 NaCl 0,9% 4,54 mg/ml -20°C 避光
365 白天
22
A+级

聚氯乙烯 葡萄糖5% 10 mg/ml -20°C 避光
30 白天
573
生物检测


  Mentions Légales