Pēdējā atjaunošana :
18/03/2026
Antibiotika   Erythromycin lactobionate  
Injekcija
Šķīduma stabilitāte Maisījuma stabilitāte Stabilitāti ietekmējoši faktori Saderība Levadīšanas veids Literatūras saraksts pdf
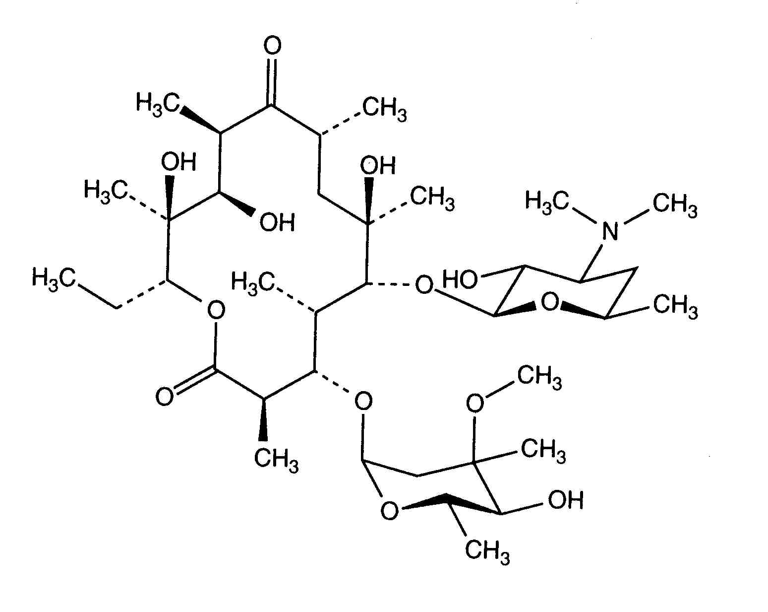
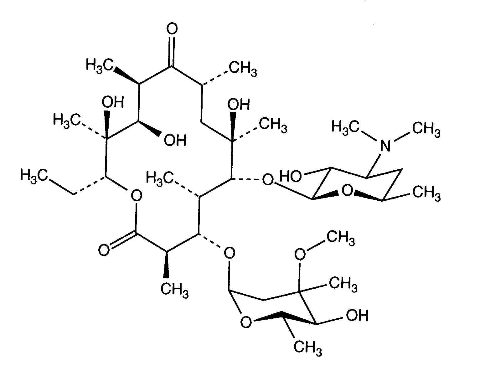
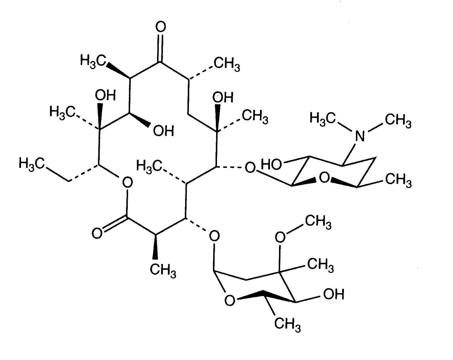
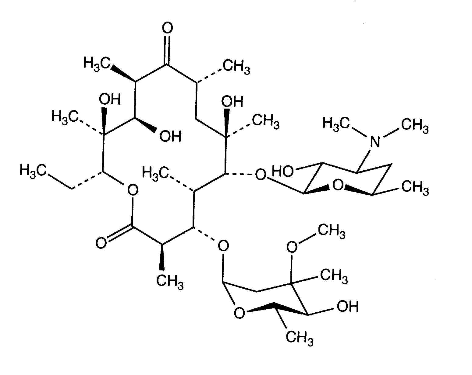
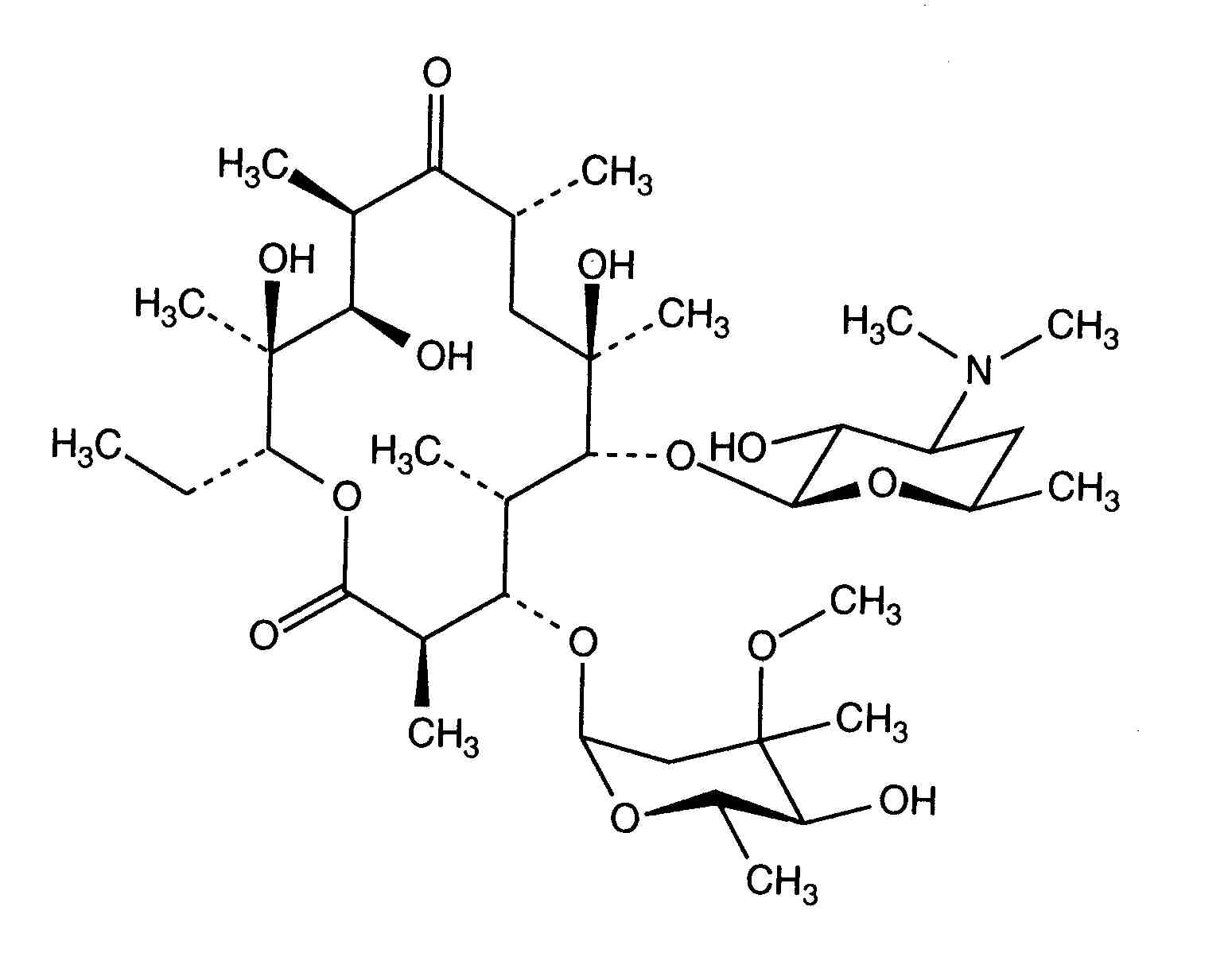
   Ķīmiskā uzbūve   

Oriģinālais nosaukums   Oriģinālais nosaukums     

Tirdzniecības nosaukumi ir apzīmējoši un palīgvielas var atšķirties dažādām valstīm un laboratorijām

Abboticin Dānija, Norvēģija, Somija, Zviedrija
Eristin Argentīna
Erithromicina Čīle
Erycinum Vācija
Erythrocin Amerikas Savienotās Valstis, Austrālija, Austrija, Īrija, Jaunzēlande, Kanāda, Lielbritānija, Saūda Arābija, Vācija
Erythrocin lactobionat ADD Vantage Austrālija, Austrija
Erythrocine Beļģija, Francija, Holande, Luksemburga, Tunisija
Erythromycin Amerikas Savienotās Valstis, Lielbritānija, Saūda Arābija, Ungārija, Vācija
Erythromycine Luksemburga
Erythromycinum Polija
Pantomicina Čīle, Spānija
Šķīduma stabilitāte   Injekcija   Šķīduma stabilitāte : Erythromycin lactobionate     
Iepakojums Šķīdinātājs Koncentrācija Temperatūra Glabāšana Stabilitātes ilgums Literatūras saraksts
Stikls Ūdens injekcijām 50 mg/ml 2-8°C Nav specifisks
24 Stunda
3674
Ražotāja stabilitātes dati

Polivinilhlorīds Nātrija hlorīds 0.9% ? mg/ml 5°C Aizsargāt no gaismas
60 Diena
1154
Pierādījumu līmenis D

Polivinilhlorīds Nātrija hlorīds 0.9% 10 mg/ml -20°C Aizsargāt no gaismas
30 Diena
573
Bioloģiskā metode

Polivinilhlorīds Nātrija hlorīds 0.9% 4,54 mg/ml -20°C Aizsargāt no gaismas
365 Diena
22
Pierādījumu līmenis A+

Polivinilhlorīds 5% glikoze 10 mg/ml -20°C Aizsargāt no gaismas
30 Diena
573
Bioloģiskā metode


  Mentions Légales