Ostatnia aktualizacja :
27/11/2025
Antybiotyk   Erythromycin lactobionate  
Injekcje
Trwałość roztworów Trwałość w mieszaninie Czynnik wpływający na trwałość Zgodność Sposób podania Bibliografia pdf
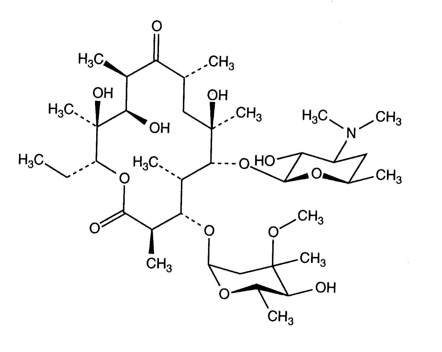
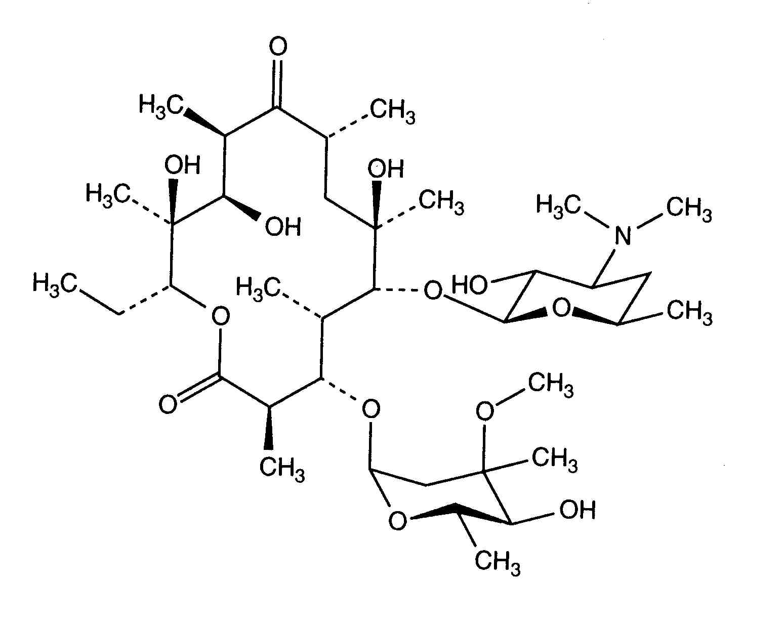
   Struktura chemiczna  

Nazwa handlowa   Nazwa handlowa     

Trade names are indicative and excipients composition can be different depending on the country and manufacturers

Abboticin Dania, Finlandia, Norwegia, Szwecja
Eristin Argentyna
Erithromicina Chile
Erycinum Niemcy
Erythrocin Arabia Saudyjska, Australia, Austria, Irlandia, Kanada, Niemcy, nowa Zelandia, Stany Zjednoczone Ameryki, Wielka Brytania
Erythrocin lactobionat ADD Vantage Australia, Austria
Erythrocine Belgia, Francja , Holandia, Luksemburg, Tunisie
Erythromycin Arabia Saudyjska, Niemcy, Stany Zjednoczone Ameryki, Węgry, Wielka Brytania
Erythromycine Luksemburg
Erythromycinum Polska
Pantomicina Chile, Hiszpania
Trwałość roztworów   Injekcje   Trwałość roztworów : Erythromycin lactobionate     
Pojemnik Rozpuszczalnik Stężenie Temperatura Przechowywanie Czas trwania stabilności Bibliografia
Szkło Woda do wstrzyknięć 50 mg/ml 2-8°C Nie wyszczególniony
24 Godzina
3674
Dane stabilności producenta

Polichlorek winylu Chlorek sodu 0,9% ? mg/ml 5°C Chronić od światła
60 Dzień
1154
Poziom wiarygodności D

Polichlorek winylu Chlorek sodu 0,9% 10 mg/ml -20°C Chronić od światła
30 Dzień
573
Analiza biologiczna

Polichlorek winylu Chlorek sodu 0,9% 4,54 mg/ml -20°C Chronić od światła
365 Dzień
22
Poziom wiarygodności A+

Polichlorek winylu Glukoza 5% 10 mg/ml -20°C Chronić od światła
30 Dzień
573
Analiza biologiczna


  Mentions Légales