Cập nhật lần cuối :
05/12/2025
Thuốc chống đông   Bivalirudin  
Dạng tiêm
Tính ổn định của các dung dịch Độ ổn định khi trộn lẫn Những yếu tố ảnh hưởng đến độ ổn định Khả năng tương thích Đường dùng Tài liệu tham khảo Pdf
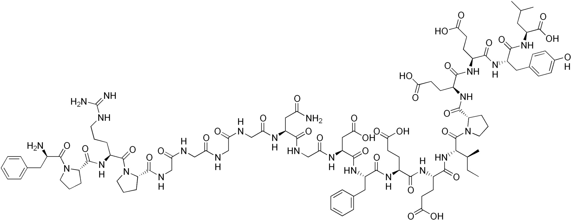
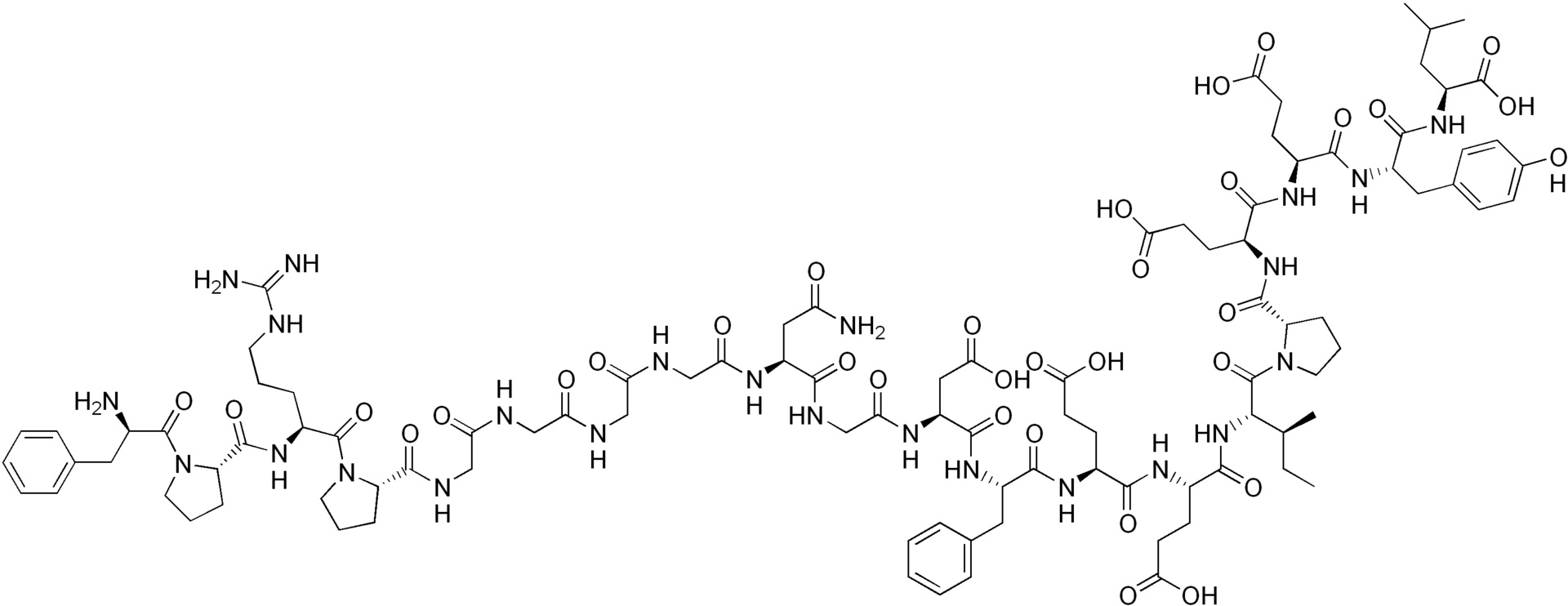
   Cấu trúc hóa học  

Tên thương mại   Tên thương mại     

Các tên thương mại được cung cấp và thành phần tá dược có thể khác nhau giữa các quốc gia và các hãng dược

Amuprux Argentina
Angiomax Canada, Chile, Hoa Kỳ, new zealand, Peru, Úc, Venezuela
Angiox Anh, Áo, Ba Lan, Hà Lan, Hoa Kỳ, Hungary, Hy Lạp, Iceland, Na Uy, Phần Lan, Romania, Slovenia, Tây Ban Nha, Ý, Đan Mạch
Bivalirudin Anh, Bỉ, Phần Lan, Slovenia, Thụy Điển, Đan Mạch, Đức
Bivalirudina Tây Ban Nha, Ý
Tính ổn định của các dung dịch   Dạng tiêm   Tính ổn định của các dung dịch : Bivalirudin     
Bao bì Dung môi Nồng độ Nhiệt độ Bảo quản Thời gian ổn định Mục lục
Thủy tinh Nước cất pha tiêm 50 mg/ml 2-8°C Không rõ
24 Giờ
3539
Các dữ liệu về độ ổn định của nhà sản xuất

Không rõ NaCl 0,9% 5 mg/ml 25°C Không rõ
24 Giờ
3539
Các dữ liệu về độ ổn định của nhà sản xuất

Không rõ Glucose 5% 5 mg/ml 25°C Không rõ
24 Giờ
3539
Các dữ liệu về độ ổn định của nhà sản xuất


  Mentions Légales