Utolsó frissítés :
18/03/2026
Véralvadásgátló   Bivalirudin  
Injekció
Az oldatok stabilitása A keverékek stabilitása Stabilitást befolyásoló tényezők Kompatibilitás Az alkalmazás módja Irodalom pdf
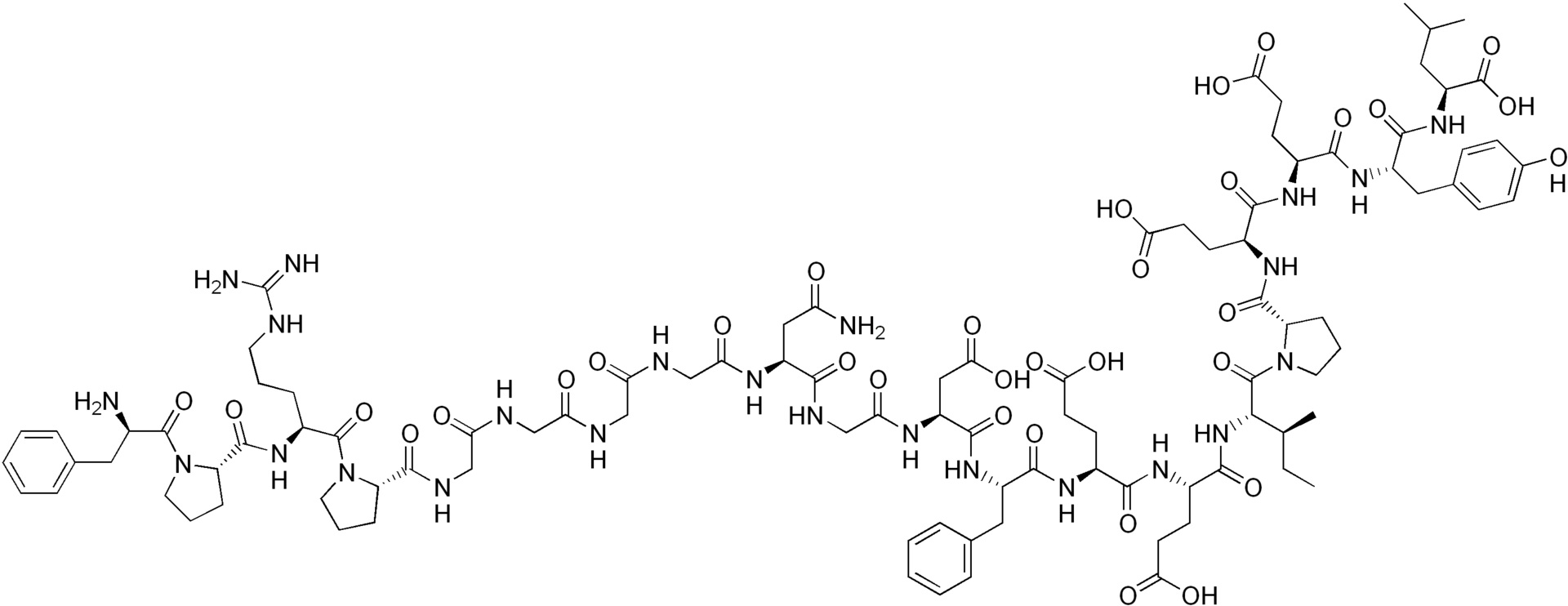
   Kémiai szerkezet   

Kereskedelmi név   Kereskedelmi név     

A kereskedelmi név meghatározó jelentőségű: a készítmények összetétele országonként, előállítóként eltérő lehet

Amuprux Argentína
Angiomax Amerikai Egyesült Államok, Ausztrália, Chile, Kanada, Peru, új-Zéland, Venezuela
Angiox Amerikai Egyesült Államok, Ausztria, Dánia, Finnország, Görögország, Hollandia, Izland, Lengyelország, Magyarország, Nagy-Britannia, Norvégia, Olaszország, Románia, Spanyolország, Szlovénia
Bivalirudin Belgium, Dánia, Finnország, Nagy-Britannia, Németország, Svédország, Szlovénia
Bivalirudina Olaszország, Spanyolország
Az oldatok stabilitása   Injekció   Az oldatok stabilitása : Bivalirudin     
Csomagolás Oldószer Koncentráció Hőmérséklet Tárolás A stabilitás időtartama Irodalom
Üveg Injekcióhoz való víz 50 mg/ml 2-8°C Nincs meghatározva
24 Óra
3539
Gyártó stabilitási adatokra

Nincs meghatározva 0,9% nátrium-klorid 5 mg/ml 25°C Nincs meghatározva
24 Óra
3539
Gyártó stabilitási adatokra

Nincs meghatározva 5% glükóz 5 mg/ml 25°C Nincs meghatározva
24 Óra
3539
Gyártó stabilitási adatokra


  Mentions Légales