viimane versioon :
18/03/2026
antikoagulant   Bivalirudin  
Süsteravim
Stabiilsus lahustes Stabiilsust mõjutavad tegurid stabiilsust mõjutavad faktorid Sobimatus Manustamis viis Viited pdf
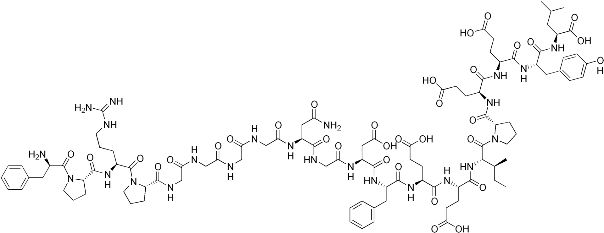
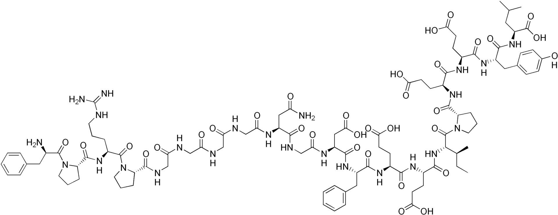
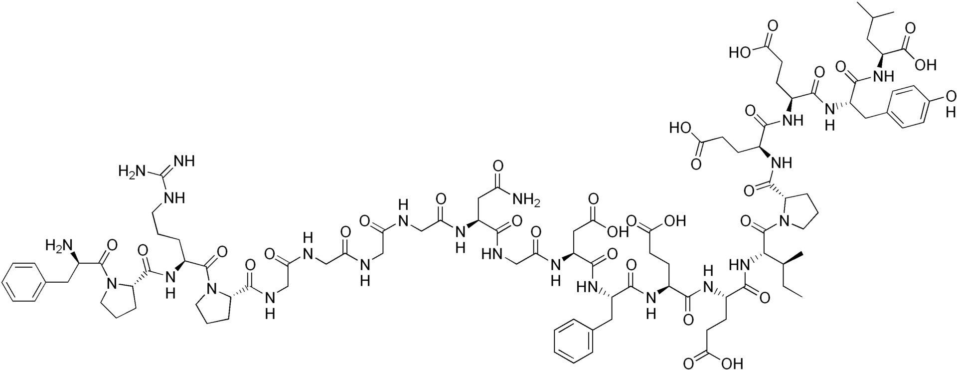
   keemiline struktuur  

Kaubanduslikud nimed erinevates maades   Kaubanduslikud nimed erinevates maades     

Preparaatide nimed on näitlikud ja abianete sisaldus võib erineda sõltuvalt riigist ja laborist

Amuprux Argentiina
Angiomax Ameerika ühendriigid, Austraalia, Kanada, Maroko, Tšiili, uus-Meremaa, Venetsueela
Angiox Ameerika ühendriigid, Austria, Hispaania, Holland, Island, Itaalia, Kreeka, Norra, Poola, Rumeenia, Sloveenia, Soome, Suurbritannia, Taani, Ungari
Bivalirudin Belgia, Rootsi, Saksamaa, Sloveenia, Soome, Suurbritannia, Taani
Bivalirudina Hispaania, Itaalia
Stabiilsus lahustes   Süsteravim   Stabiilsus lahustes : Bivalirudin     
konteiner lahusti kontsentratsioon temperatuur ladustamine Stabiilsuse kestus Viited
klaas süstevesi 50 mg/ml 2-8°C pole täpsustatud
24 Tund
3539
Tootja info stabiilsuse kohta

pole täpsustatud naatriumkloriid 0.9% 5 mg/ml 25°C pole täpsustatud
24 Tund
3539
Tootja info stabiilsuse kohta

pole täpsustatud glükoos 5% 5 mg/ml 25°C pole täpsustatud
24 Tund
3539
Tootja info stabiilsuse kohta


  Mentions Légales