Ostatnia aktualizacja :
18/03/2026
Antykoagulant   Bivalirudin  
Injekcje
Trwałość roztworów Trwałość w mieszaninie Czynnik wpływający na trwałość Zgodność Sposób podania Bibliografia pdf
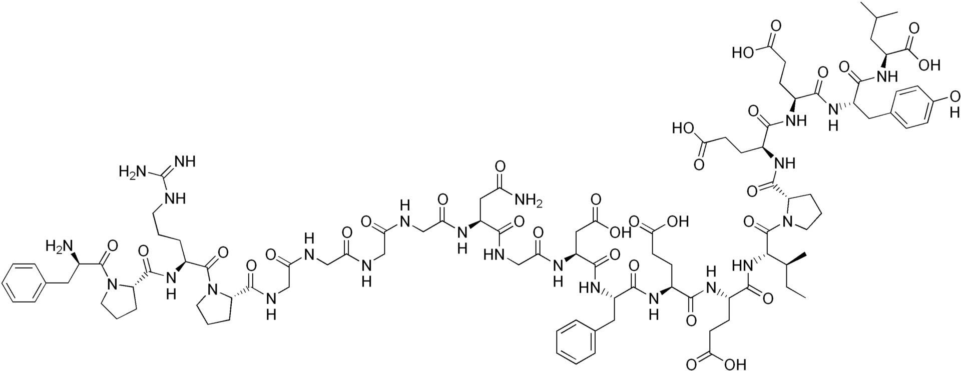
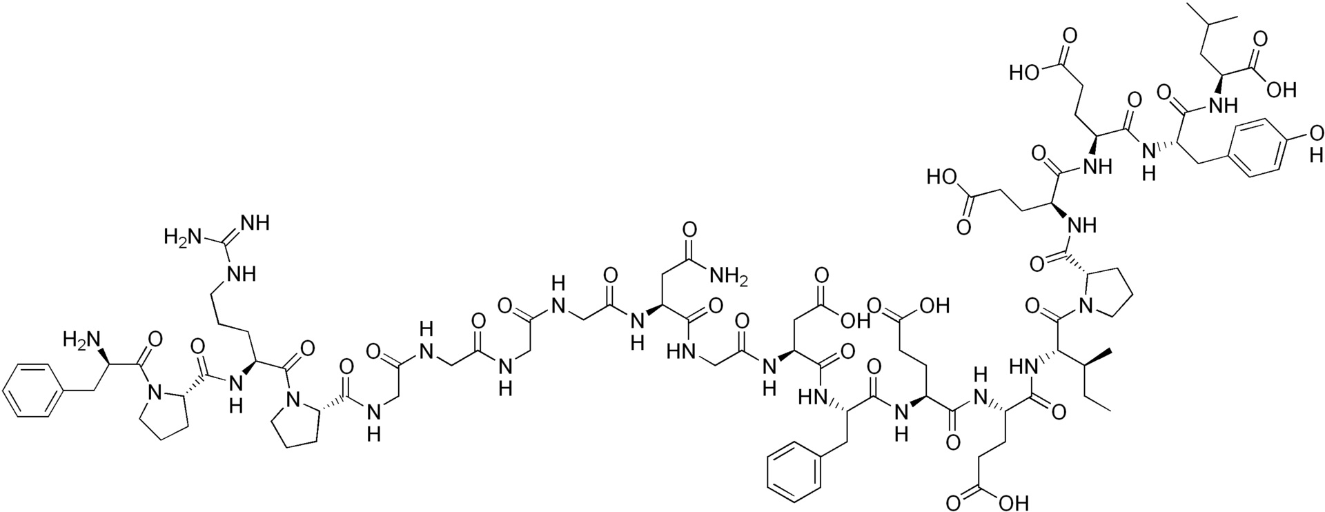
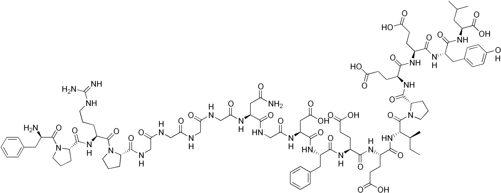
   Struktura chemiczna  

Nazwa handlowa   Nazwa handlowa     

Trade names are indicative and excipients composition can be different depending on the country and manufacturers

Amuprux Argentyna
Angiomax Australia, Chile, Kanada, nowa Zelandia, Peru, Stany Zjednoczone Ameryki, Wenezuela
Angiox Austria, Dania, Finlandia, Grecja, Hiszpania, Holandia, Islandia, Norwegia, Polska, Rumunia, Stany Zjednoczone Ameryki, Słowenia, Węgry, Wielka Brytania, Włochy
Bivalirudin Belgia, Dania, Finlandia, Niemcy, Szwecja, Słowenia, Wielka Brytania
Bivalirudina Hiszpania, Włochy
Trwałość roztworów   Injekcje   Trwałość roztworów : Bivalirudin     
Pojemnik Rozpuszczalnik Stężenie Temperatura Przechowywanie Czas trwania stabilności Bibliografia
Szkło Woda do wstrzyknięć 50 mg/ml 2-8°C Nie wyszczególniony
24 Godzina
3539
Dane stabilności producenta

Brak informacji Chlorek sodu 0,9% 5 mg/ml 25°C Nie wyszczególniony
24 Godzina
3539
Dane stabilności producenta

Brak informacji Glukoza 5% 5 mg/ml 25°C Nie wyszczególniony
24 Godzina
3539
Dane stabilności producenta


  Mentions Légales