Ultimele actualizari :
27/11/2025
Anticoagulant   Bivalirudin  
Injectabil
Stabilitatea in solutie Stabilitatea in amestec Factorii care influenteaza stabilitatea Compatibilitate Microunde Bibliografie pdf
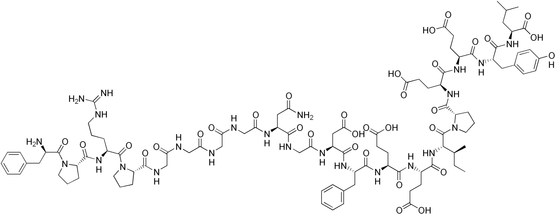
   Formula chimica  

Denumirea comerciala   Denumirea comerciala     

Trade names are indicative and excipients composition can be different depending on the country and manufacturers

Amuprux Argentina
Angiomax Australia, Canada, Chilli, noua Zeelandă, Peru, SUA, Venezuela
Angiox Austria, Danemarca, Finlanda, Grecia, Islanda, Italia, Marea Britanie, Norvegia, Olanda, Polonia, Romania, Slovenia, Spania, SUA, Ungaria
Bivalirudin Belgia, Danemarca, Finlanda, Germania, Marea Britanie, Slovenia, Suedia
Bivalirudina Italia, Spania
Stabilitatea in solutie   Injectabil   Stabilitatea in solutie : Bivalirudin     
Continut Solvent Concentratie Temperatura Conservare Durata stabilității Bibiografie
sticla apa pentru preparate injectabile 50 mg/ml 2-8°C Neprecizat
24 Ora
3539
Documentele de stabilitate ale producătorului

neprecizat clorura de sodiu 0,9% 5 mg/ml 25°C Neprecizat
24 Ora
3539
Documentele de stabilitate ale producătorului

neprecizat Glucoza 5% 5 mg/ml 25°C Neprecizat
24 Ora
3539
Documentele de stabilitate ale producătorului


  Mentions Légales