Pēdējā atjaunošana :
03/02/2026
Antikoagulants   Bivalirudin  
Injekcija
Šķīduma stabilitāte Maisījuma stabilitāte Stabilitāti ietekmējoši faktori Saderība Levadīšanas veids Literatūras saraksts pdf
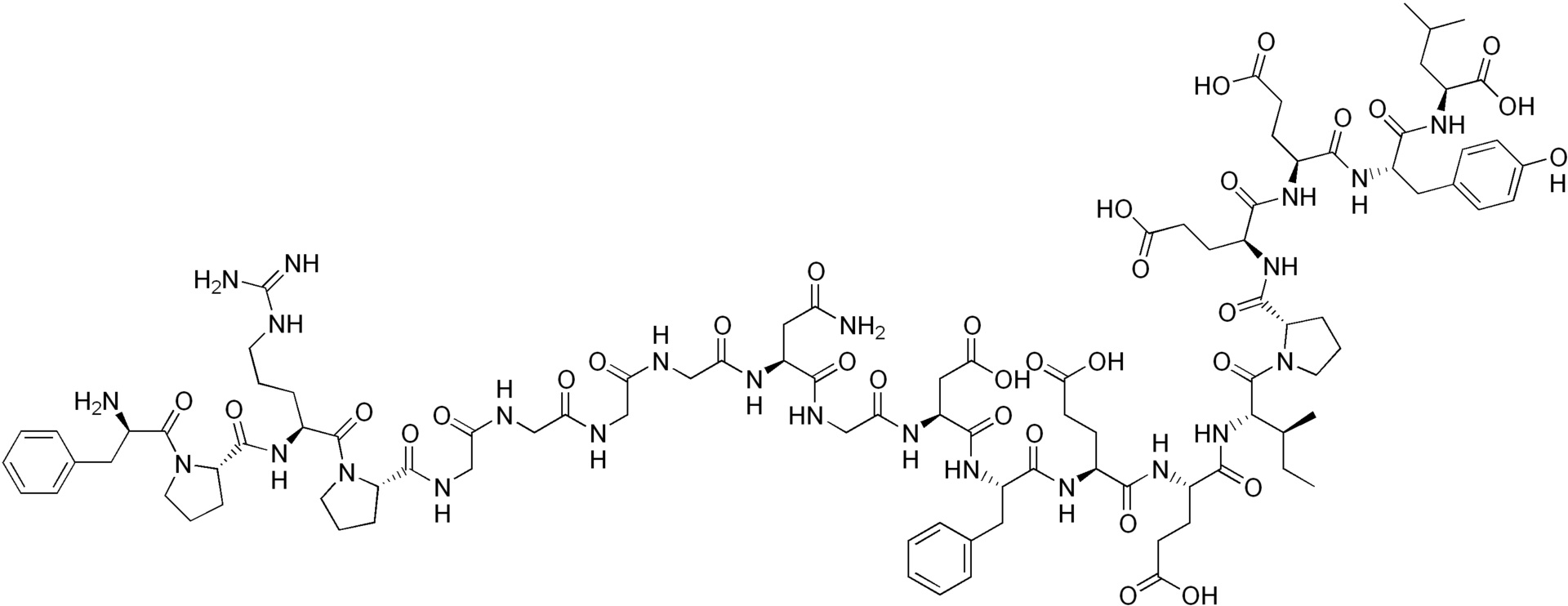
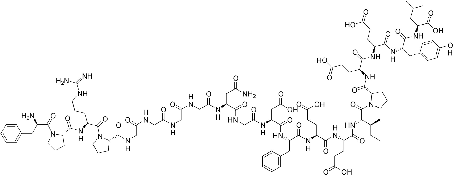
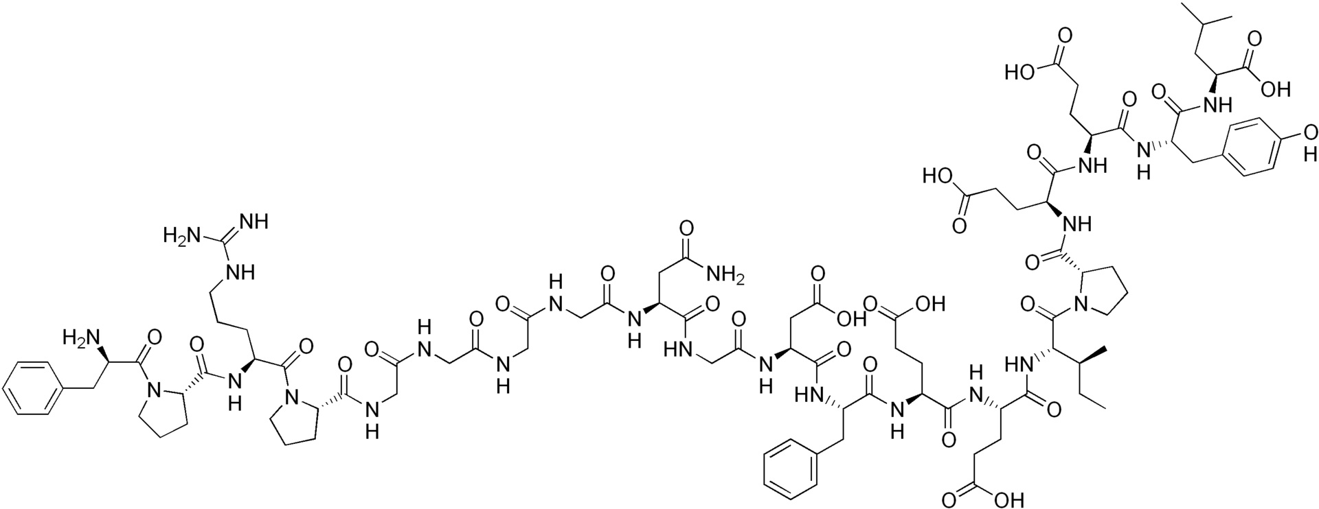
   Ķīmiskā uzbūve   

Oriģinālais nosaukums   Oriģinālais nosaukums     

Tirdzniecības nosaukumi ir apzīmējoši un palīgvielas var atšķirties dažādām valstīm un laboratorijām

Amuprux Argentīna
Angiomax Amerikas Savienotās Valstis, Austrālija, Čīle, Jaunzēlande, Kanāda, Peru, Venecuēla
Angiox Amerikas Savienotās Valstis, Austrija, Dānija, Grieķija, Holande, Islande, Itālija, Lielbritānija, Norvēģija, Polija, Rumānija, Slovēnija, Somija, Spānija, Ungārija
Bivalirudin Beļģija, Dānija, Lielbritānija, Slovēnija, Somija, Vācija, Zviedrija
Bivalirudina Itālija, Spānija
Šķīduma stabilitāte   Injekcija   Šķīduma stabilitāte : Bivalirudin     
Iepakojums Šķīdinātājs Koncentrācija Temperatūra Glabāšana Stabilitātes ilgums Literatūras saraksts
Stikls Ūdens injekcijām 50 mg/ml 2-8°C Nav specifisks
24 Stunda
3539
Ražotāja stabilitātes dati

Nespecifisks Nātrija hlorīds 0.9% 5 mg/ml 25°C Nav specifisks
24 Stunda
3539
Ražotāja stabilitātes dati

Nespecifisks 5% glikoze 5 mg/ml 25°C Nav specifisks
24 Stunda
3539
Ražotāja stabilitātes dati


  Mentions Légales