最新更新 :
18/03/2026
抗凝血药   Bivalirudin  
注射液
溶液稳定性 混合物稳定性 影响稳定性的因素 兼容性 用药途径 引用文献 PDF
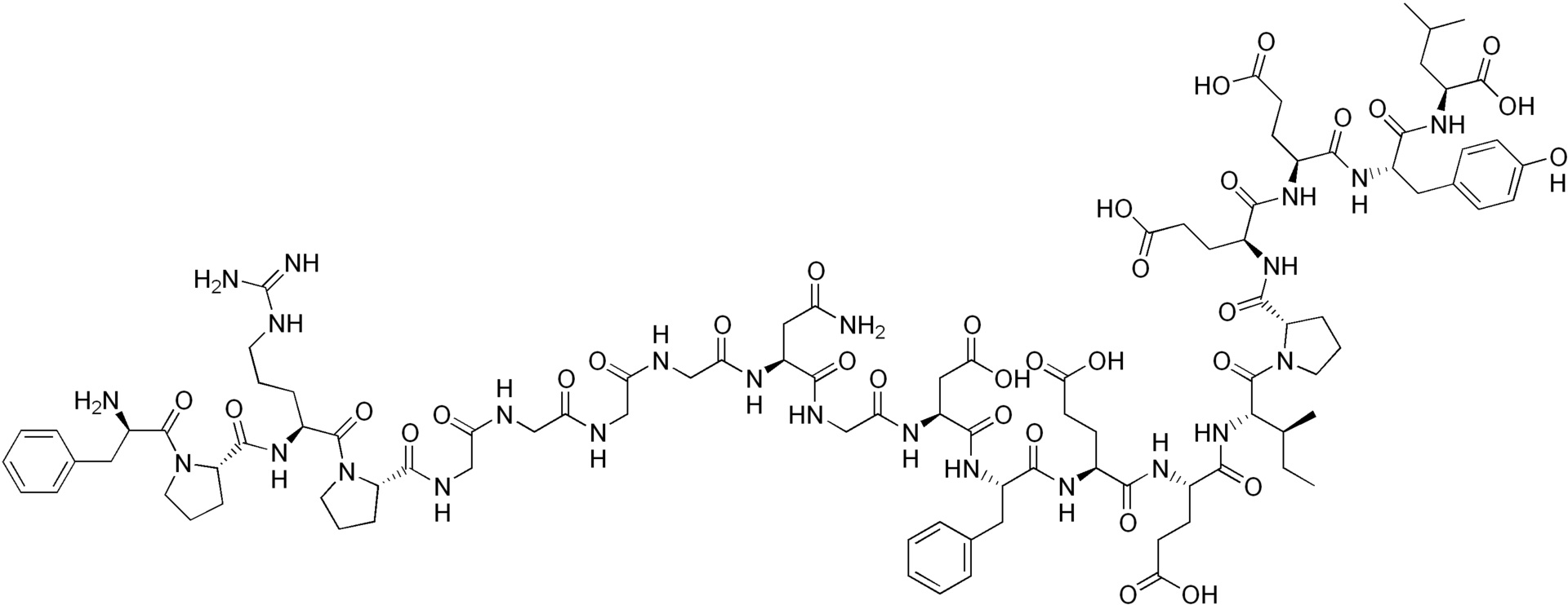
   化学式  

商品名   商品名     

商品名仅供参考, 药品所用的辅料可能依国家或厂商不同有所不同。

Amuprux 阿根廷
Angiomax 加拿大, 委内瑞拉, 新西蘭, 智利, 澳大利亚, 秘鲁, 美国
Angiox 丹麦, 冰岛, 匈牙利, 奥地利, 希腊, 意大利, 挪威, 斯洛文尼亚, 波兰, 罗马尼亚, 美国, 芬兰, 英国, 荷兰, 西班牙
Bivalirudin 丹麦, 德国, 斯洛文尼亚, 比利时, 瑞典, 芬兰, 英国
Bivalirudina 意大利, 西班牙
溶液稳定性   注射液   溶液稳定性 : Bivalirudin     
容器 溶剂 浓度 温度 保存 穩定持續時間 引用文献
玻璃 注射用水 50 mg/ml 2-8°C 无特殊要求
24 小时
3539
生产厂家提供的稳定性数据

不详 NaCl 0,9% 5 mg/ml 25°C 无特殊要求
24 小时
3539
生产厂家提供的稳定性数据

不详 葡萄糖5% 5 mg/ml 25°C 无特殊要求
24 小时
3539
生产厂家提供的稳定性数据


  Mentions Légales