Seneste opdatering :
18/03/2026
Antikoagulant   Bivalirudin  
Injektion
Stabilitet i (vandige) opløsninger Stabilitet i blandinger Faktorer der påvirker stabiliteten Kompatibilitet Administrationsvej Bibliografi pdf
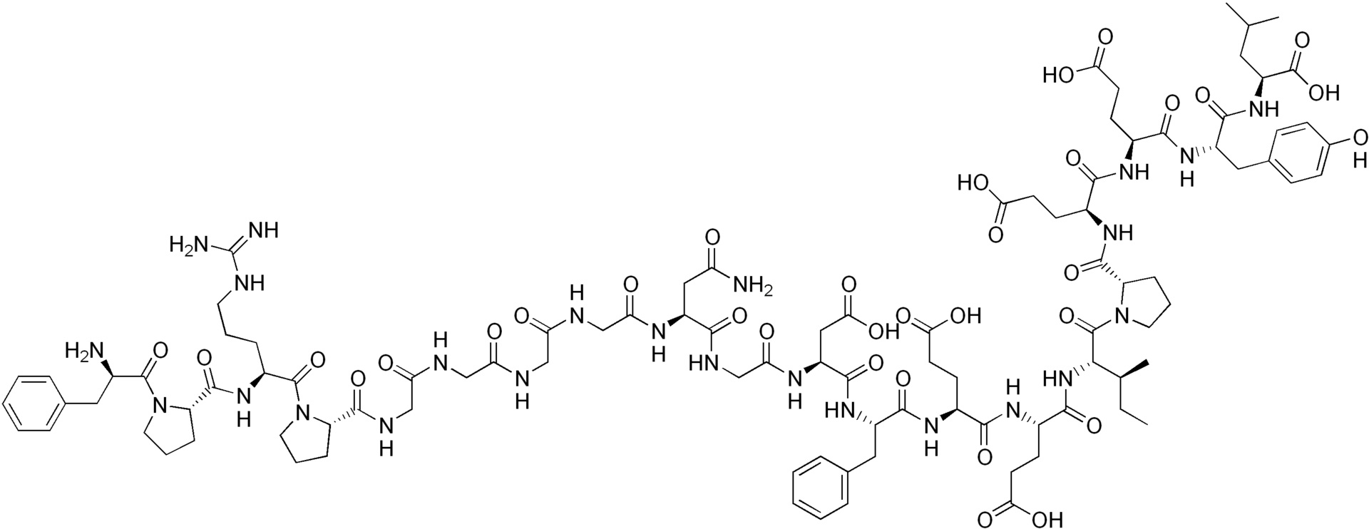
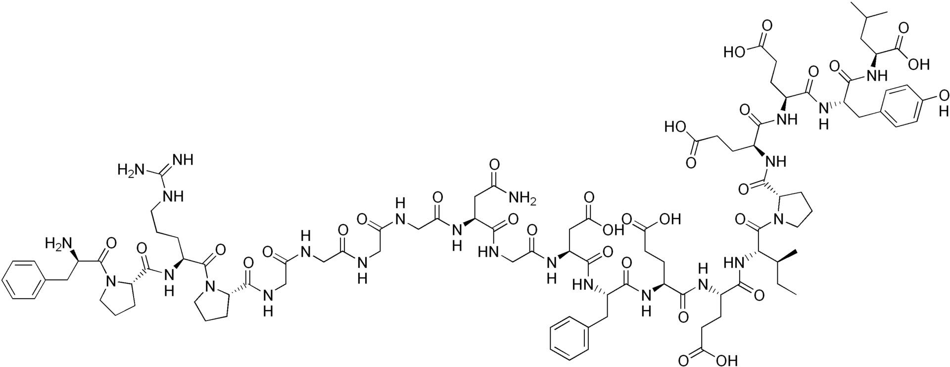
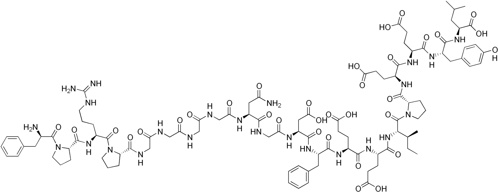
   Kemisk struktur  

Handelsnavn   Handelsnavn     

Handel navne er vejledende og hjælpestoffer sammensætning kan være forskellig afhængigt af landet og laboratorier

Amuprux Argentina
Angiomax Australien, Canada, Chile, Marokko, New Zealand, USA, Venezuela
Angiox Danmark, Finland, Grækenland, Holland, Island, Italien, Norge, Polen, Rumænien, Slovenien, Spanien, Storbritanien, Ungarn, USA, Østrig
Bivalirudin Belgien, Danmark, Finland, Slovenien, Storbritanien, Sverige, Tyskland
Bivalirudina Italien, Spanien
Stabilitet i (vandige) opløsninger   Injektion   Stabilitet i (vandige) opløsninger : Bivalirudin     
Beholder Opløsningsmiddel Koncentration Temperatur Konservering Varighed af stabilitet Bibliografi
Glas Vand til injektion 50 mg/ml 2-8°C Ikke nærmere angivet
24 Time
3539
Producentens stabilitet data

Ikke angivet nærmere 0,9 % Natriumklorid 5 mg/ml 25°C Ikke nærmere angivet
24 Time
3539
Producentens stabilitet data

Ikke angivet nærmere 5 % Glukose 5 mg/ml 25°C Ikke nærmere angivet
24 Time
3539
Producentens stabilitet data


  Mentions Légales