Zadnji put ažurirano :
18/03/2026
antikoagulant   Bivalirudin  
injekcija
Stabilizacija rješenja Stabilnost mješavine Stabilizacijski faktor Kompatibilnosti način davanja lijeka Bibliografija pdf
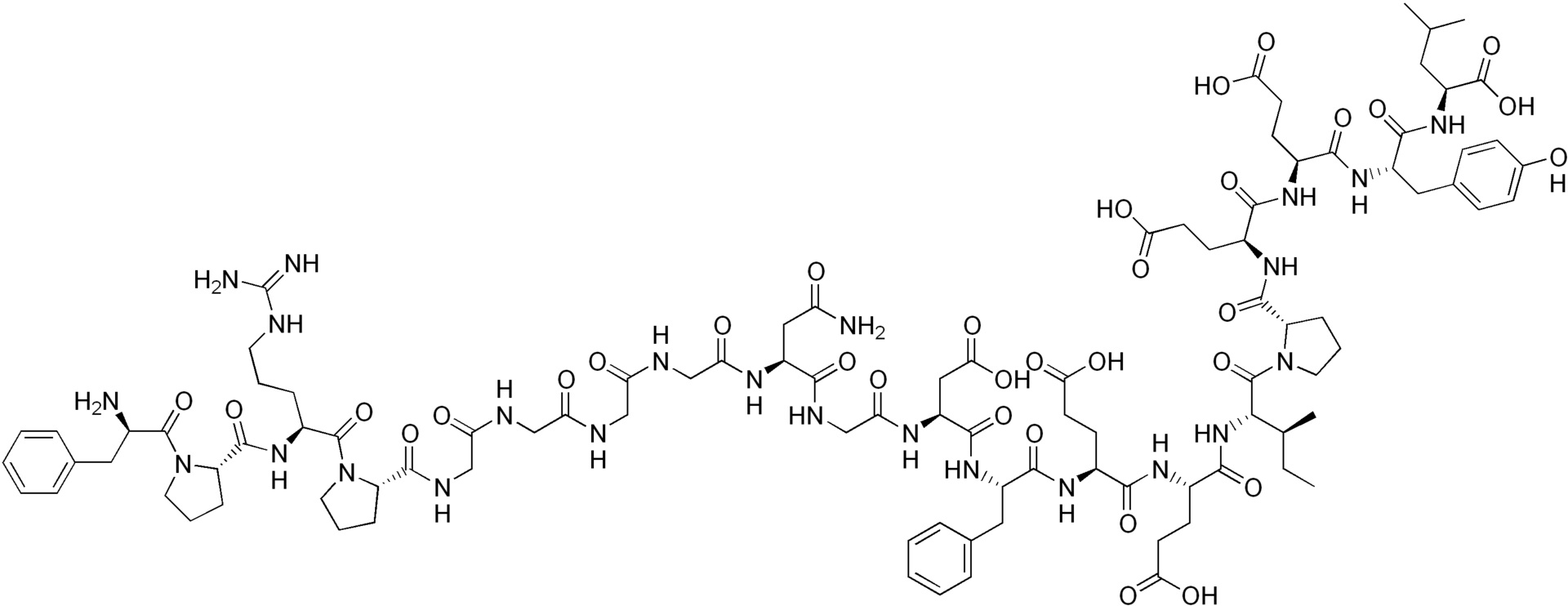
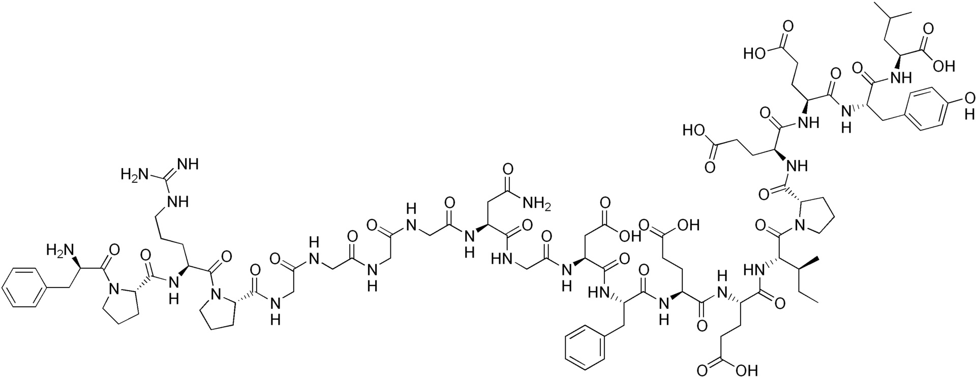
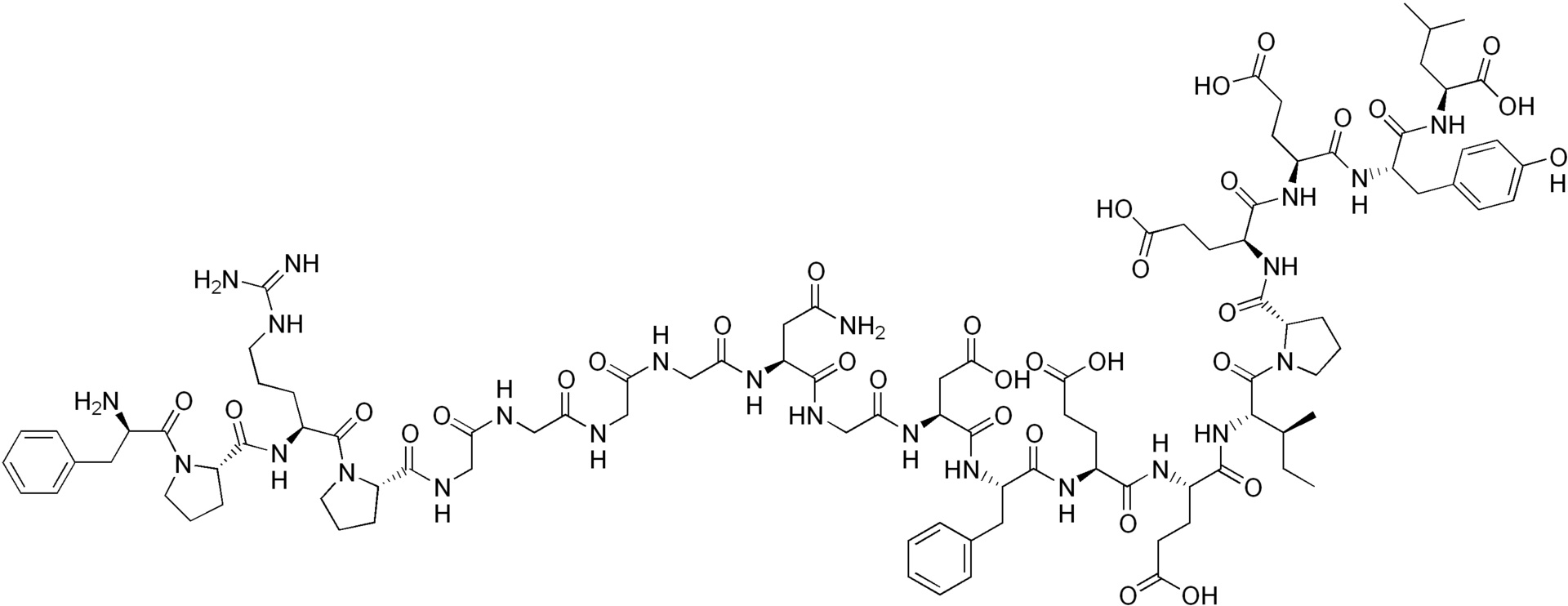
   Kemijska struktura  

Nekomercijalni   Nekomercijalni     

Zaštićeni nazivi su indikativni i sastav ekscipijensa može biti različit ovisno o državi i laboratorijima

Amuprux Argentina
Angiomax Australija, Čile, Kanada, novi Zeland, Peru, S A D, Venecuela
Angiox Austrija, Danska, Finska, Grčka, Island, Italija, Madžarska, Nizozemska, Norveška, Poljska, Rumunjska, S A D, Slovenija, Španjolska, Velika Britanija
Bivalirudin Belgija, Danska, Finska, Njemačka, Slovenija, Švedska, Velika Britanija
Bivalirudina Italija, Španjolska
Stabilizacija rješenja   injekcija   Stabilizacija rješenja : Bivalirudin     
Kontejner sredstvo za rastapanje koncentracija temperatura Konzerviranje Trajanje stabilnosti Bibliografija
čaša čista voda za injektiranje 50 mg/ml 2-8°C nespecifičan
24 sat
3539
Podaci proizvođača o stabilnosti

nespecifičan natrijumkorid 0,9% 5 mg/ml 25°C nespecifičan
24 sat
3539
Podaci proizvođača o stabilnosti

nespecifičan glukoza 5% 5 mg/ml 25°C nespecifičan
24 sat
3539
Podaci proizvođača o stabilnosti


  Mentions Légales