Son güncelleme :
18/03/2026
Antikoagülan   Bivalirudin  
Enjeksiyon
Çözeltilerin stabilitesi Karışımlardaki stabilitesi Stabiliteyi etkileyen faktörler Uyumluluk Uygulama yöntemi Kaynaklar pdf
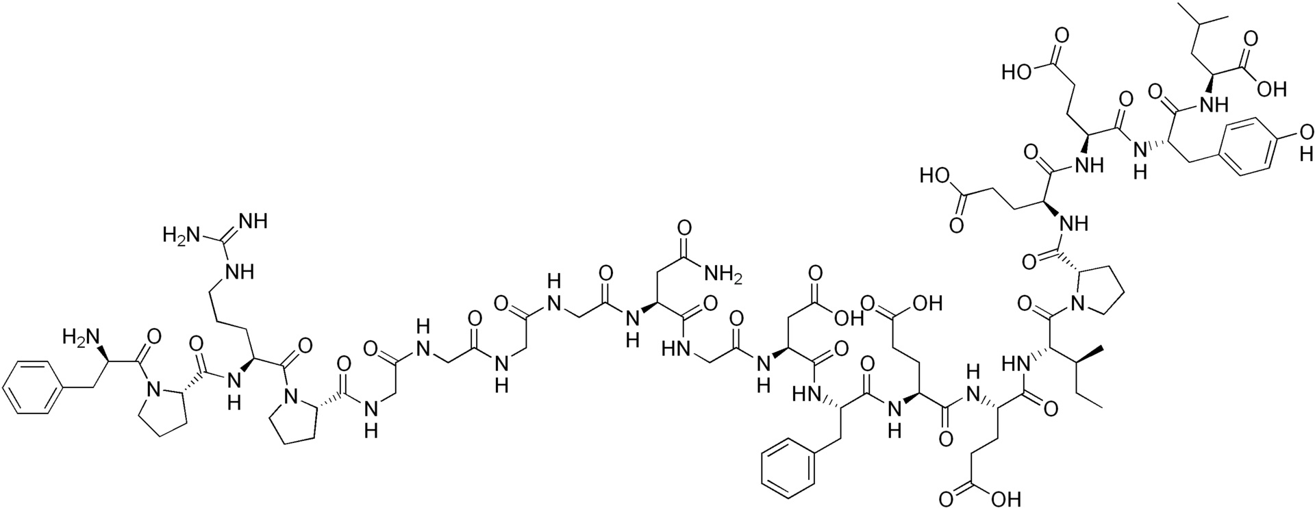
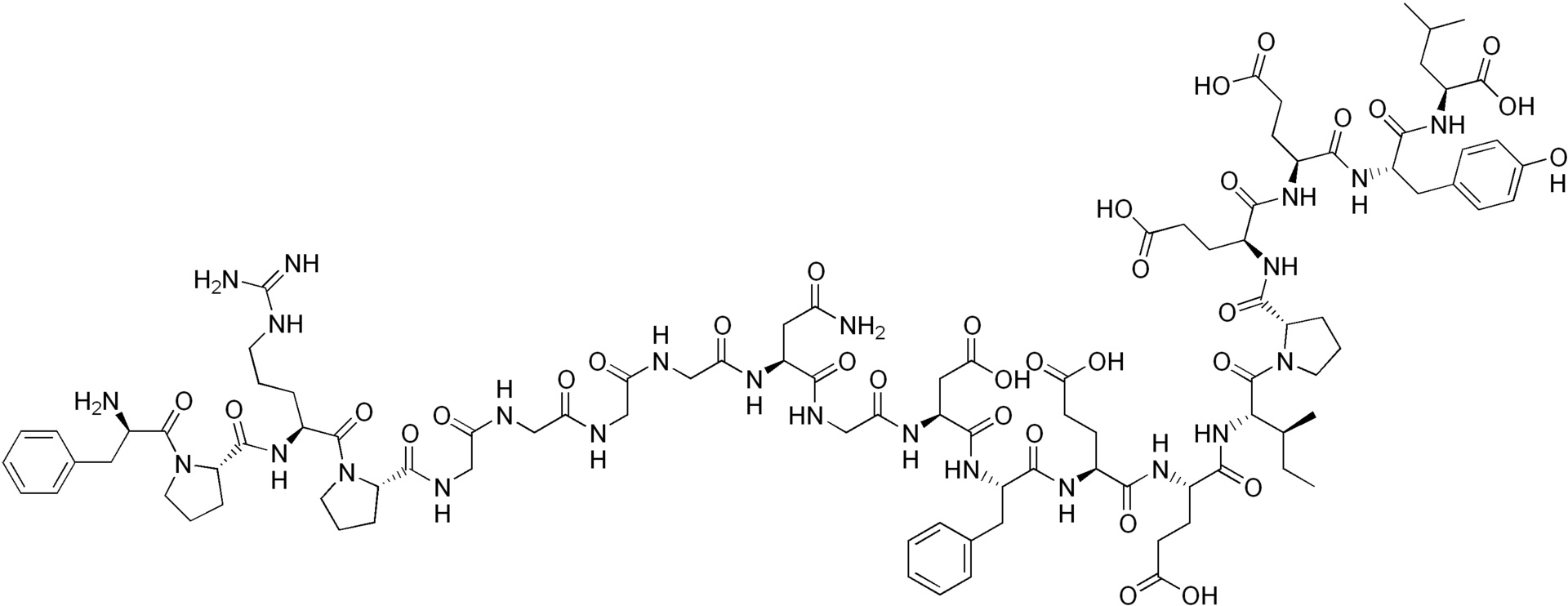
   Kimyasal yapı   

Ticari isim   Ticari isim     

Trade names are indicative and excipients composition can be different depending on the country and manufacturers

Amuprux Arjantin
Angiomax Amerika Birleşik Devletleri, Avustralya, Kanada, Peru, Şili, Venezuela, yeni Zelanda
Angiox Amerika Birleşik Devletleri, Avusturya, Büyük Britanya, Danimarka, Finlandiya, Hollanda, İspanya, İtalya, İzlanda, Macaristan, Norveç, Polonya, Romanya, Slovenya, Yunanistan
Bivalirudin Almanya, Belçika, Büyük Britanya, Danimarka, Finlandiya, İsveç, Slovenya
Bivalirudina İspanya, İtalya
Çözeltilerin stabilitesi   Enjeksiyon    Çözeltilerin stabilitesi : Bivalirudin     
Saklama kabı Çözücü Konsantrasyon Isı Saklama    Stabilite süresi Kaynaklar
Cam Enjeksiyonluk su 50 mg/ml 2-8°C Belirtilmemiş
24 Zaman
3539
Üreticinin stabilite verileri

Belirtilmemiş Sodyum klorür % 0,9 5 mg/ml 25°C Belirtilmemiş
24 Zaman
3539
Üreticinin stabilite verileri

Belirtilmemiş Glukoz %5 5 mg/ml 25°C Belirtilmemiş
24 Zaman
3539
Üreticinin stabilite verileri


  Mentions Légales