Cập nhật lần cuối :
27/11/2025
Thuốc chống đông   Bivalirudin  
Dạng tiêm
Tính ổn định của các dung dịch Độ ổn định khi trộn lẫn Những yếu tố ảnh hưởng đến độ ổn định Khả năng tương thích Đường dùng Tài liệu tham khảo Pdf
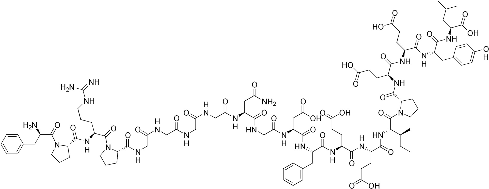
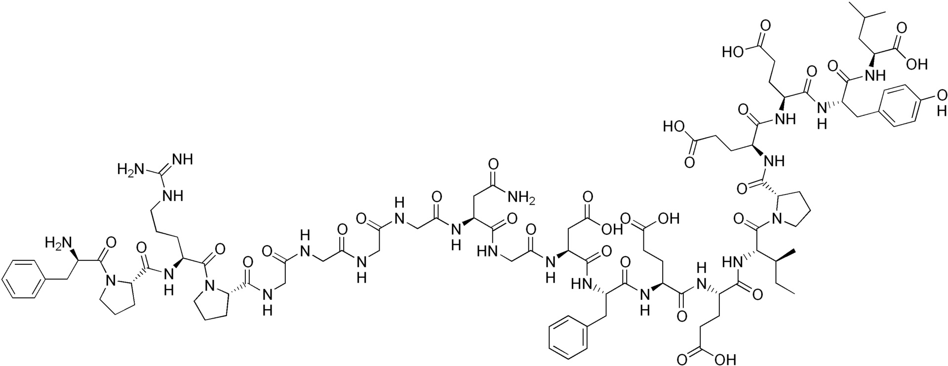
   Cấu trúc hóa học  

Tên thương mại   Tên thương mại     

Các tên thương mại được cung cấp và thành phần tá dược có thể khác nhau giữa các quốc gia và các hãng dược

Amuprux Argentina
Angiomax Canada, Chile, Hoa Kỳ, new zealand, Peru, Úc, Venezuela
Angiox Anh, Áo, Ba Lan, Hà Lan, Hoa Kỳ, Hungary, Hy Lạp, Iceland, Na Uy, Phần Lan, Romania, Slovenia, Tây Ban Nha, Ý, Đan Mạch
Bivalirudin Anh, Bỉ, Phần Lan, Slovenia, Thụy Điển, Đan Mạch, Đức
Bivalirudina Tây Ban Nha, Ý
Tài liệu tham khảo   Dạng tiêm   Tài liệu tham khảo : Bivalirudin  
Loại Nguồn
1713 Tạp chí Trissel LA, Saenz CA.
Compatibility screening of bivalirudin during simulated Y-site administration with other drugs.
Int J Pharm Compound 2002 ; 6: 311-315.
1944 Tạp chí Hartman CA, Faria CE, Mago K.
Visual compatibility of bivalirudin with selected drugs.
Am J Health-Syst Pharm 2004 ; 61: 1774.
3539 Thông tin của nhà sản xuất Bivalirudin (Angiox®) - Summary of Product Characteristics.
The Medecines Company 2013

  Mentions Légales