Siste oppdatering :
27/11/2025
Antikoagulantia   Bivalirudin  
Injeksjon
Oppløsningsstabilitet Stabilitet i blandinger Faktorer som påvirker stabiliteten Kompatibilitet Administrasjonsmåte Referanser pdf
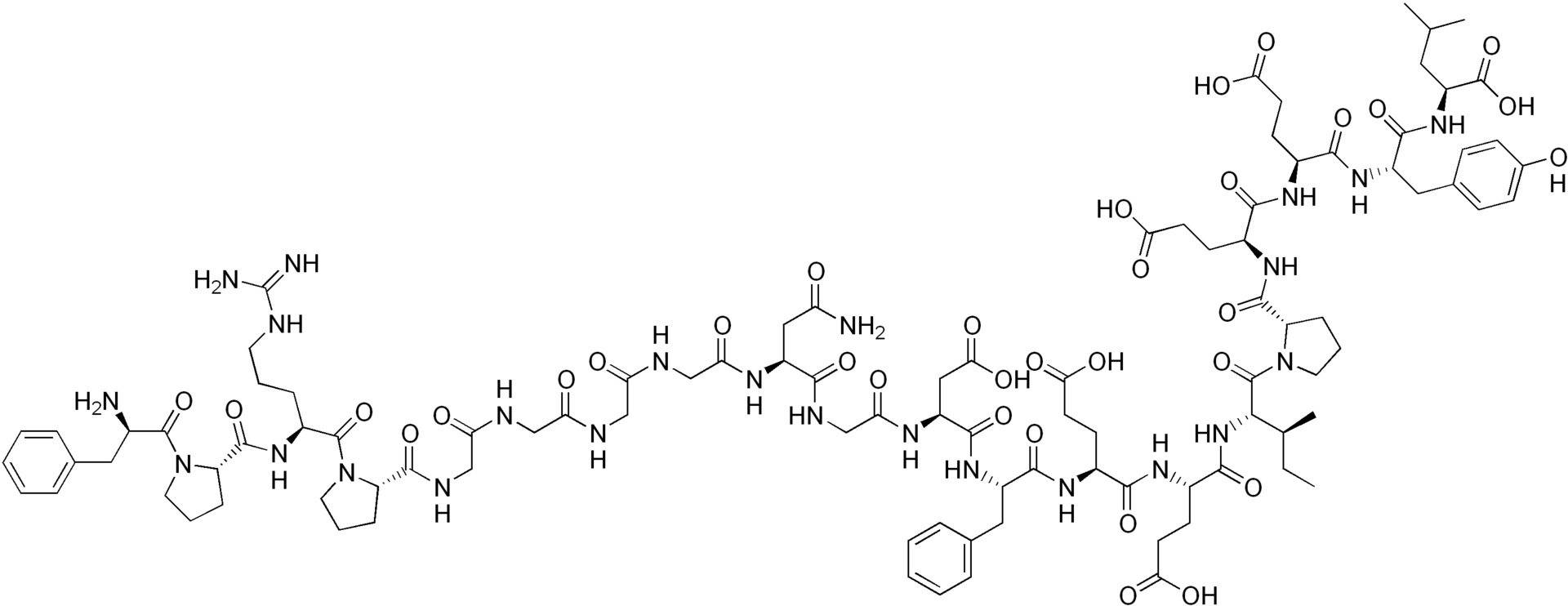
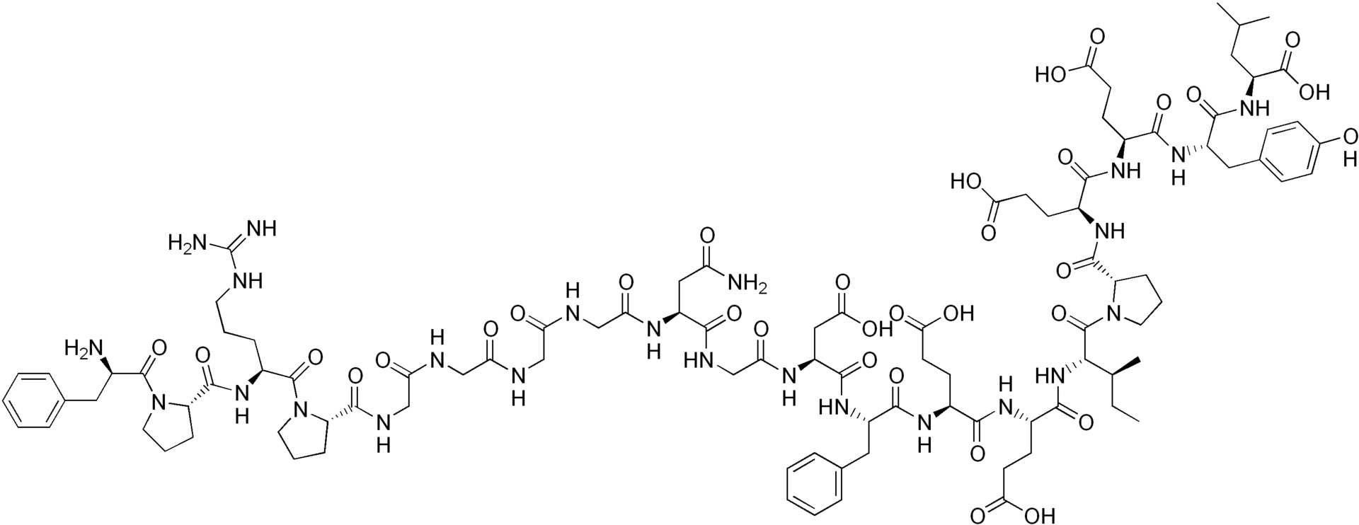
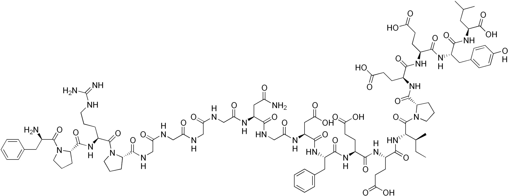
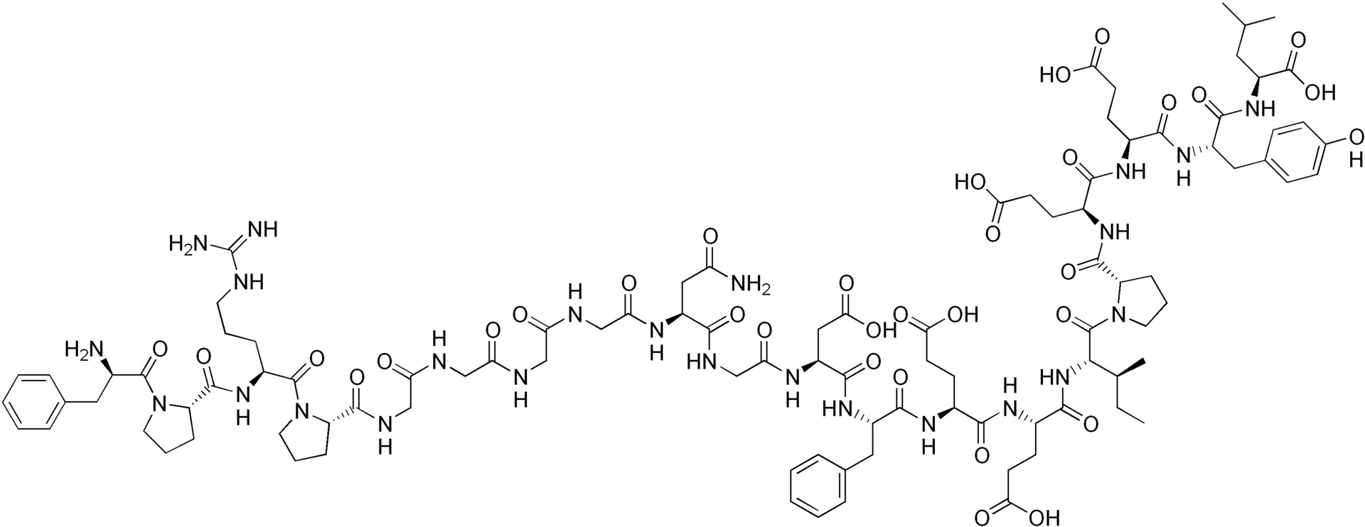
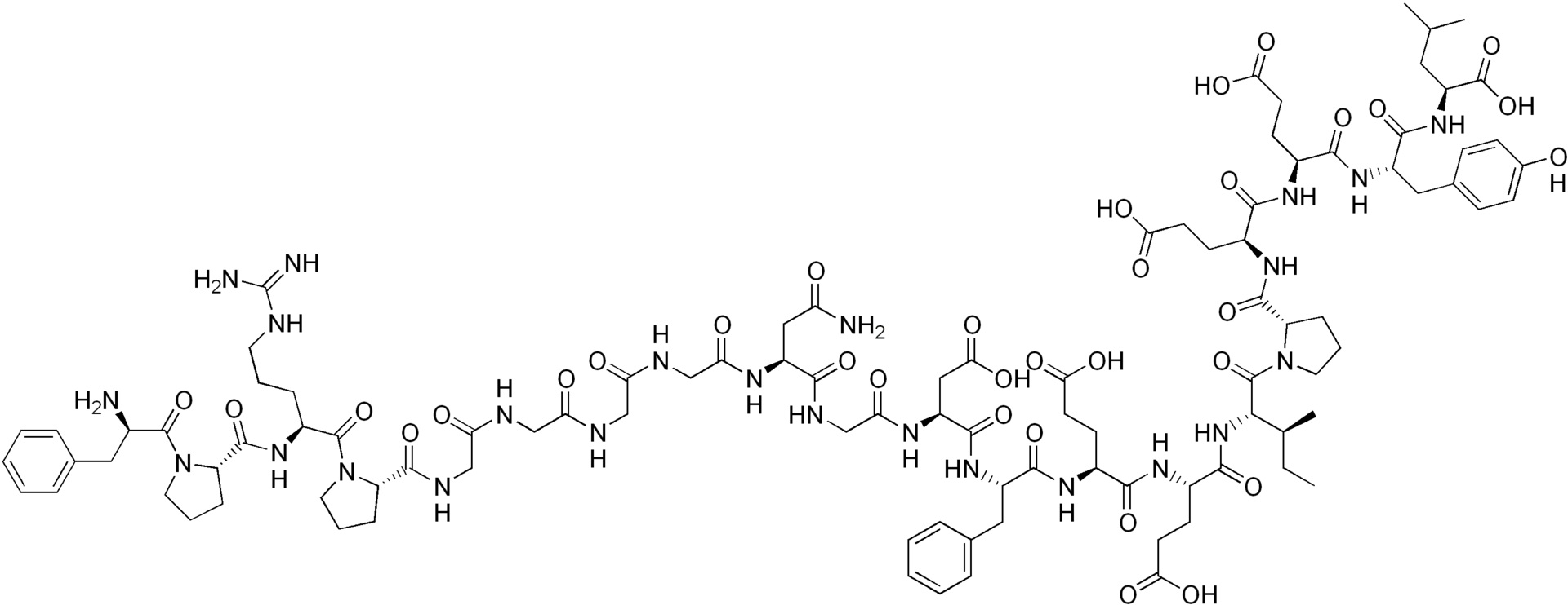
   Kjemisk struktur  

Handelsnavn   Handelsnavn     

Handelsnavn er veiledende og sammensetning av hjelpestoffer kan være forskjellig avhengig av land og produsent

Amuprux Argentina
Angiomax Australia, Canada, Chile, New Zealand, Peru, USA, Venezuela
Angiox Danmark, Finland, Hellas, Island, Italia, Nederland, Norge, Polen, Romania, Slovenia, Spania, Storbritannia, Ungarn, USA, Østerrike
Bivalirudin Belgia, Danmark, Finland, Slovenia, Storbritannia, Sverige, Tyskland
Bivalirudina Italia, Spania
Referanser   Injeksjon   Referanser : Bivalirudin  
Type publikasjon
1713 Journal Trissel LA, Saenz CA.
Compatibility screening of bivalirudin during simulated Y-site administration with other drugs.
Int J Pharm Compound 2002 ; 6: 311-315.
1944 Journal Hartman CA, Faria CE, Mago K.
Visual compatibility of bivalirudin with selected drugs.
Am J Health-Syst Pharm 2004 ; 61: 1774.
3539 Labratorium Bivalirudin (Angiox®) - Summary of Product Characteristics.
The Medecines Company 2013

  Mentions Légales