Son güncelleme :
27/11/2025
Antikoagülan   Bivalirudin  
Enjeksiyon
Çözeltilerin stabilitesi Karışımlardaki stabilitesi Stabiliteyi etkileyen faktörler Uyumluluk Uygulama yöntemi Kaynaklar pdf
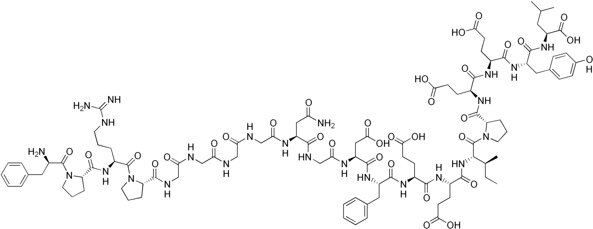
   Kimyasal yapı   

Ticari isim   Ticari isim     

Trade names are indicative and excipients composition can be different depending on the country and manufacturers

Amuprux Arjantin
Angiomax Amerika Birleşik Devletleri, Avustralya, Kanada, Peru, Şili, Venezuela, yeni Zelanda
Angiox Amerika Birleşik Devletleri, Avusturya, Büyük Britanya, Danimarka, Finlandiya, Hollanda, İspanya, İtalya, İzlanda, Macaristan, Norveç, Polonya, Romanya, Slovenya, Yunanistan
Bivalirudin Almanya, Belçika, Büyük Britanya, Danimarka, Finlandiya, İsveç, Slovenya
Bivalirudina İspanya, İtalya
Kaynaklar   Enjeksiyon    Kaynaklar : Bivalirudin  
tip yayın
1713 Dergi Trissel LA, Saenz CA.
Compatibility screening of bivalirudin during simulated Y-site administration with other drugs.
Int J Pharm Compound 2002 ; 6: 311-315.
1944 Dergi Hartman CA, Faria CE, Mago K.
Visual compatibility of bivalirudin with selected drugs.
Am J Health-Syst Pharm 2004 ; 61: 1774.
3539 Laboratuar Bivalirudin (Angiox®) - Summary of Product Characteristics.
The Medecines Company 2013

  Mentions Légales