Ultimo aggiornamento :
27/11/2025
Anticoagulante   Bivalirudin  
Iniezione
Stabilità in soluzione Stabilità in miscela Fattori che influenzano la stabilità Compatibilità metodo di iniezione Bibliografia pdf
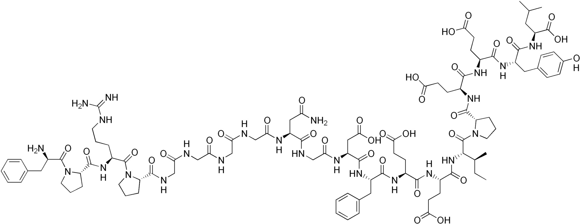
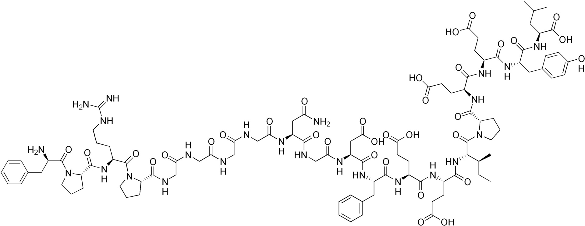
   Struttura chimica  

Nome commerciale   Nome commerciale     

Trade names are indicative and excipients composition can be different depending on the country and manufacturers

Amuprux Argentina
Angiomax Australia, Canada, Chile, nuova Zelanda, Perù, Stati Uniti d’America, Venezuela
Angiox Austria, Danimarca, Finlandia, Gran Bretagna, Grecia, Islanda, Italia, Norvegia, Paesi Bassi, Polonia, Romania, Slovenia, Spagna, Stati Uniti d’America, Ungheria
Bivalirudin Belgio, Danimarca, Finlandia, Germania, Gran Bretagna, Slovenia, Svezia
Bivalirudina Italia, Spagna
Bibliografia   Iniezione   Bibliografia : Bivalirudin  
tipo pubblicazione
1713 Rivista Trissel LA, Saenz CA.
Compatibility screening of bivalirudin during simulated Y-site administration with other drugs.
Int J Pharm Compound 2002 ; 6: 311-315.
1944 Rivista Hartman CA, Faria CE, Mago K.
Visual compatibility of bivalirudin with selected drugs.
Am J Health-Syst Pharm 2004 ; 61: 1774.
3539 Laboratorio Bivalirudin (Angiox®) - Summary of Product Characteristics.
The Medecines Company 2013

  Mentions Légales