Seneste opdatering :
27/11/2025
Antikoagulant   Bivalirudin  
Injektion
Stabilitet i (vandige) opløsninger Stabilitet i blandinger Faktorer der påvirker stabiliteten Kompatibilitet Administrationsvej Bibliografi pdf
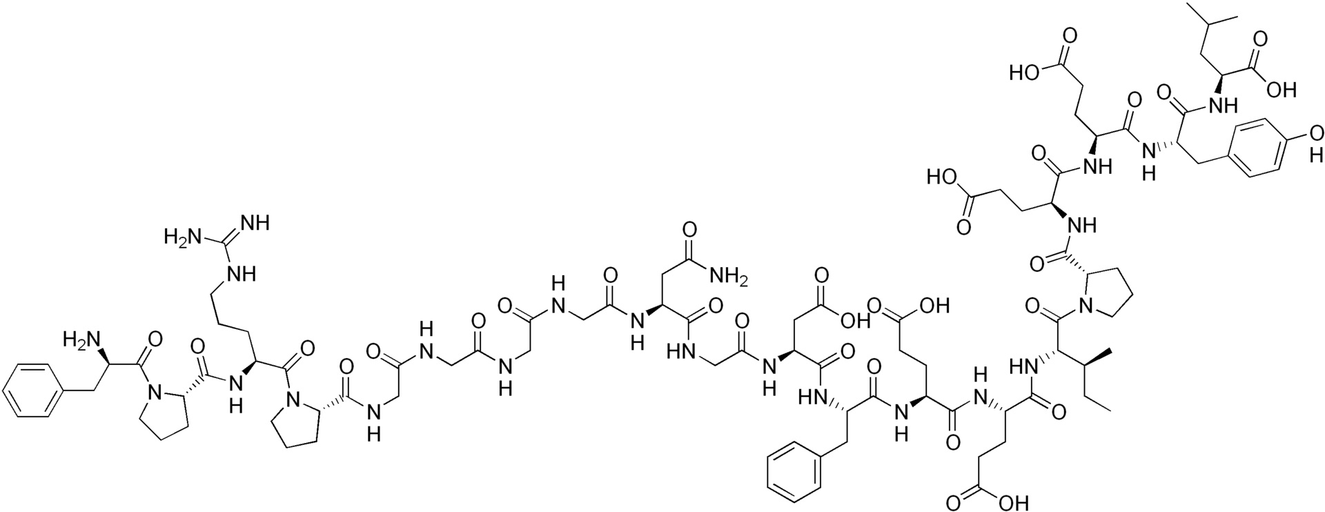
   Kemisk struktur  

Handelsnavn   Handelsnavn     

Handel navne er vejledende og hjælpestoffer sammensætning kan være forskellig afhængigt af landet og laboratorier

Amuprux Argentina
Angiomax Australien, Canada, Chile, Marokko, New Zealand, USA, Venezuela
Angiox Danmark, Finland, Grækenland, Holland, Island, Italien, Norge, Polen, Rumænien, Slovenien, Spanien, Storbritanien, Ungarn, USA, Østrig
Bivalirudin Belgien, Danmark, Finland, Slovenien, Storbritanien, Sverige, Tyskland
Bivalirudina Italien, Spanien
Bibliografi   Injektion   Bibliografi : Bivalirudin  
Type offentliggørelse
1713 Journal Trissel LA, Saenz CA.
Compatibility screening of bivalirudin during simulated Y-site administration with other drugs.
Int J Pharm Compound 2002 ; 6: 311-315.
1944 Journal Hartman CA, Faria CE, Mago K.
Visual compatibility of bivalirudin with selected drugs.
Am J Health-Syst Pharm 2004 ; 61: 1774.
3539 Laboratorium Bivalirudin (Angiox®) - Summary of Product Characteristics.
The Medecines Company 2013

  Mentions Légales