Ostatnia aktualizacja :
27/11/2025
Antykoagulant   Bivalirudin  
Injekcje
Trwałość roztworów Trwałość w mieszaninie Czynnik wpływający na trwałość Zgodność Sposób podania Bibliografia pdf
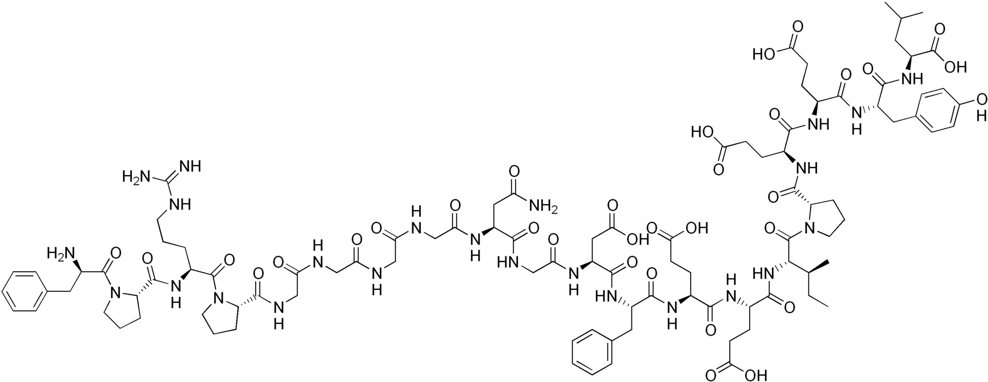
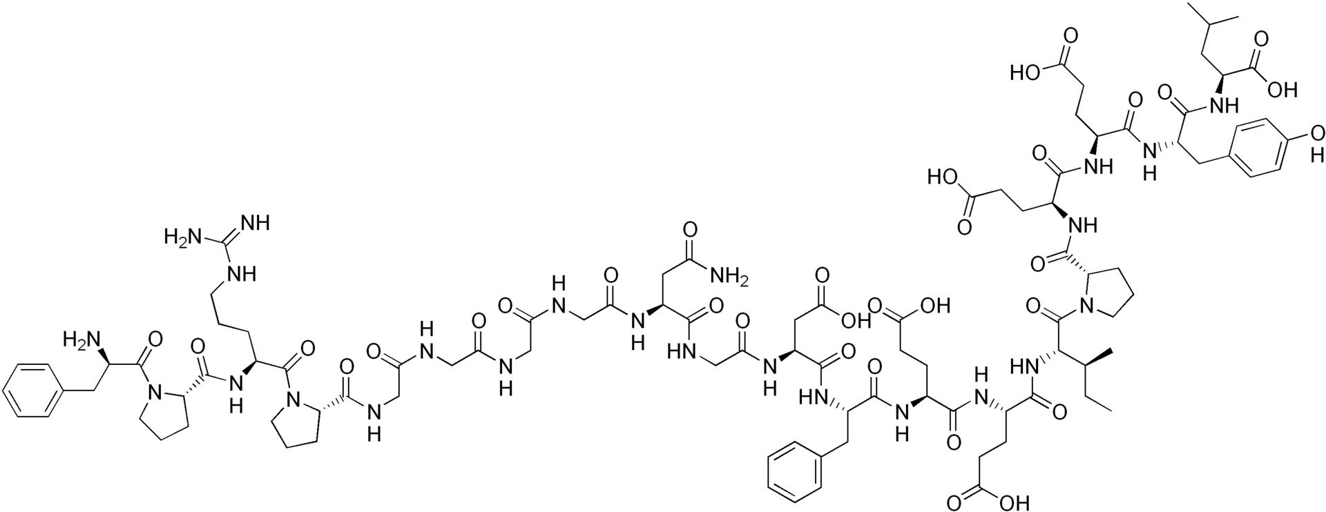
   Struktura chemiczna  

Nazwa handlowa   Nazwa handlowa     

Trade names are indicative and excipients composition can be different depending on the country and manufacturers

Amuprux Argentyna
Angiomax Australia, Chile, Kanada, nowa Zelandia, Peru, Stany Zjednoczone Ameryki, Wenezuela
Angiox Austria, Dania, Finlandia, Grecja, Hiszpania, Holandia, Islandia, Norwegia, Polska, Rumunia, Stany Zjednoczone Ameryki, Słowenia, Węgry, Wielka Brytania, Włochy
Bivalirudin Belgia, Dania, Finlandia, Niemcy, Szwecja, Słowenia, Wielka Brytania
Bivalirudina Hiszpania, Włochy
Bibliografia   Injekcje   Bibliografia : Bivalirudin  
typ publikacja
1713 Czasopismo Trissel LA, Saenz CA.
Compatibility screening of bivalirudin during simulated Y-site administration with other drugs.
Int J Pharm Compound 2002 ; 6: 311-315.
1944 Czasopismo Hartman CA, Faria CE, Mago K.
Visual compatibility of bivalirudin with selected drugs.
Am J Health-Syst Pharm 2004 ; 61: 1774.
3539 Laboratorium Bivalirudin (Angiox®) - Summary of Product Characteristics.
The Medecines Company 2013

  Mentions Légales