Last update :
27/11/2025
Anticoagulant   Bivalirudin  
injection
Stability in solutions Stability of mixtures Factors which affect stability Compatibility Route of administration References pdf
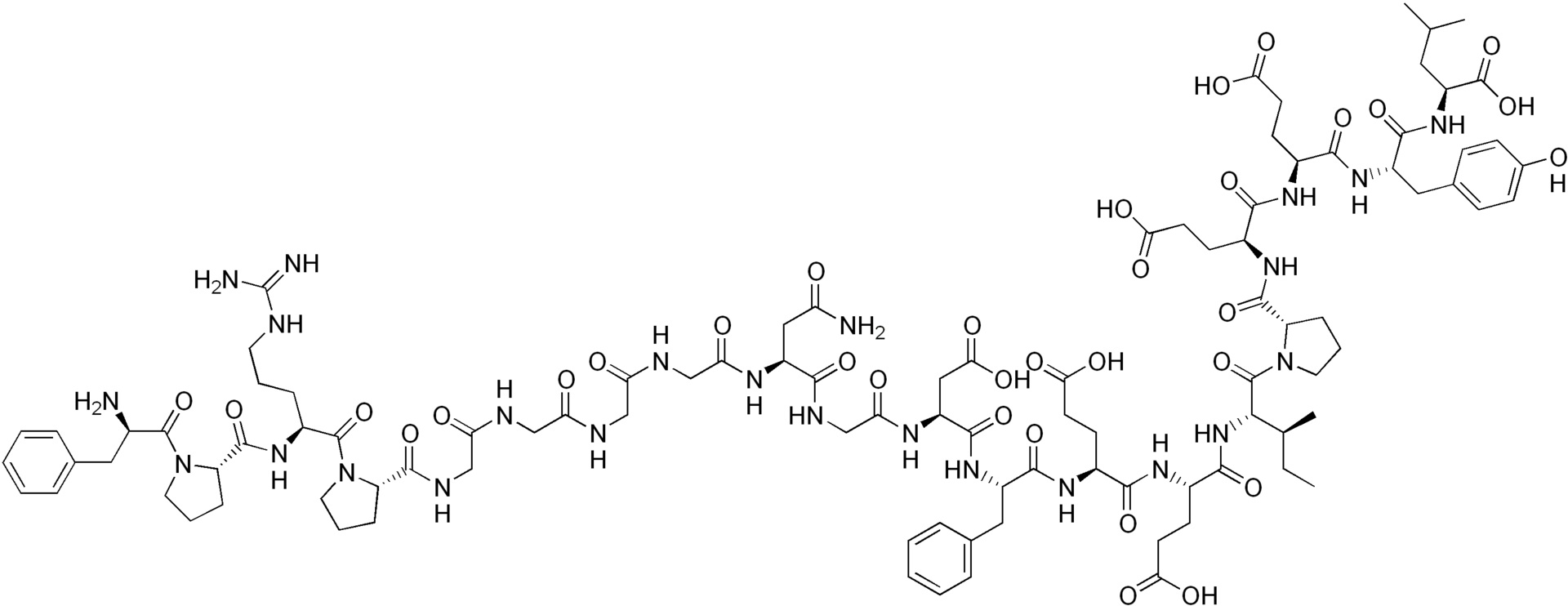
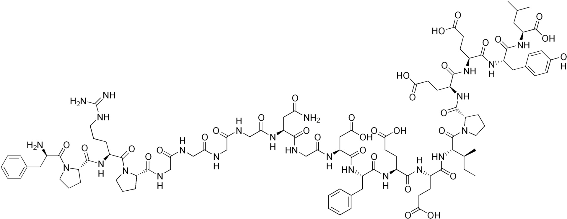
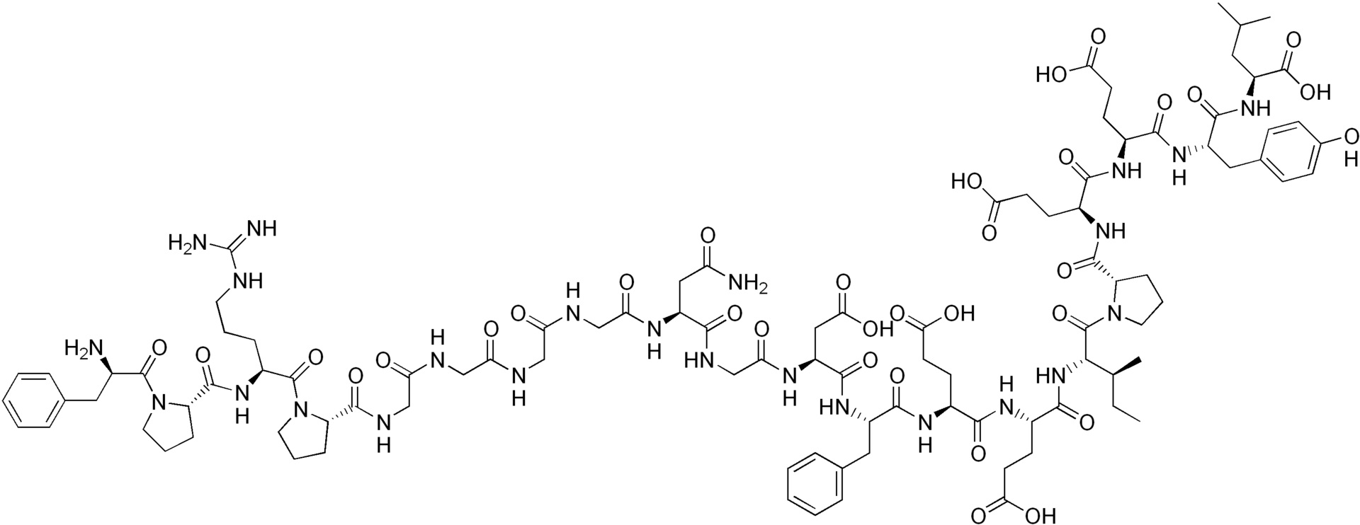
   Chemical structure  

Tradename   Tradename     

Trade names are indicative and excipients composition can be different depending on the country and manufacturers

Amuprux Argentina
Angiomax Australia, Canada, Chile, New Zealand, Peru, United States of America, Venezuela
Angiox Austria, Denmark, Finland, Great Britain, Greece, Hungary, Iceland, Italy, Netherlands, Norway, Poland, Romania, Slovenia, Spain, United States of America
Bivalirudin Belgium, Denmark, Finland, Germany, Great Britain, Slovenia, Sweden
Bivalirudina Italy, Spain
References   injection   References : Bivalirudin  
Type Publication
1713 Journal Trissel LA, Saenz CA.
Compatibility screening of bivalirudin during simulated Y-site administration with other drugs.
Int J Pharm Compound 2002 ; 6: 311-315.
1944 Journal Hartman CA, Faria CE, Mago K.
Visual compatibility of bivalirudin with selected drugs.
Am J Health-Syst Pharm 2004 ; 61: 1774.
3539 Manufacturer Bivalirudin (Angiox®) - Summary of Product Characteristics.
The Medecines Company 2013

  Mentions Légales