Ultimele actualizari :
27/04/2026
Anticoagulant   Bivalirudin  
Injectabil
Stabilitatea in solutie Stabilitatea in amestec Factorii care influenteaza stabilitatea Compatibilitate Microunde Bibliografie pdf
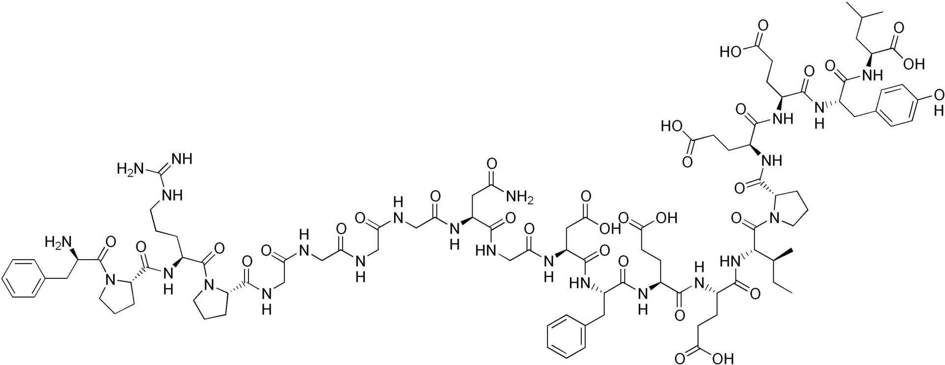
   Formula chimica  

Denumirea comerciala   Denumirea comerciala     

Trade names are indicative and excipients composition can be different depending on the country and manufacturers

Amuprux Argentina
Angiomax Australia, Canada, Chilli, noua Zeelandă, Peru, SUA, Venezuela
Angiox Austria, Danemarca, Finlanda, Grecia, Islanda, Italia, Marea Britanie, Norvegia, Olanda, Polonia, Romania, Slovenia, Spania, SUA, Ungaria
Bivalirudin Belgia, Danemarca, Finlanda, Germania, Marea Britanie, Slovenia, Suedia
Bivalirudina Italia, Spania
Bibliografie   Injectabil   Bibliografie : Bivalirudin  
tip publicare
1713 ziar Trissel LA, Saenz CA.
Compatibility screening of bivalirudin during simulated Y-site administration with other drugs.
Int J Pharm Compound 2002 ; 6: 311-315.
1944 ziar Hartman CA, Faria CE, Mago K.
Visual compatibility of bivalirudin with selected drugs.
Am J Health-Syst Pharm 2004 ; 61: 1774.
3539 Laborator Bivalirudin (Angiox®) - Summary of Product Characteristics.
The Medecines Company 2013

  Mentions Légales