Poslední aktualizace :
27/11/2025
Antikoagulans   Bivalirudin  
injekce
Stabilita roztoků Stabilita směsí Faktory ovlivňující stabilitu Kompatibilita Způsoby aplikace Odkazy pdf
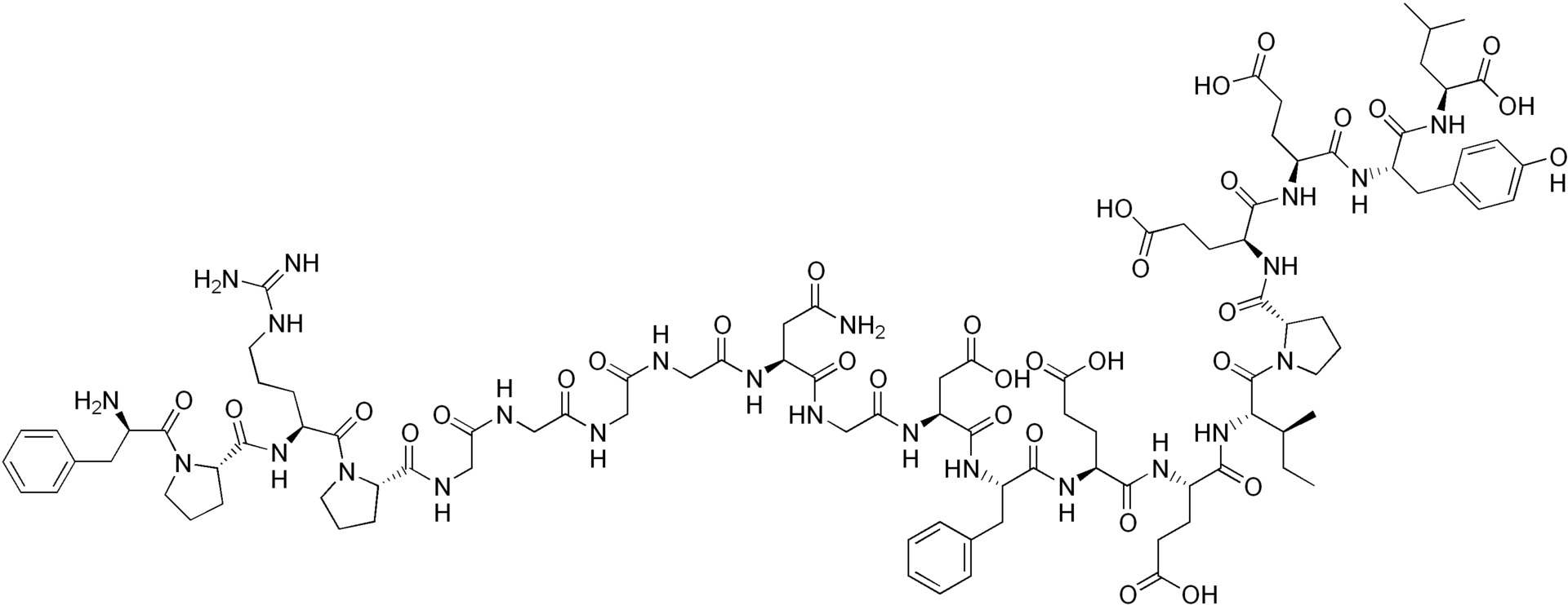
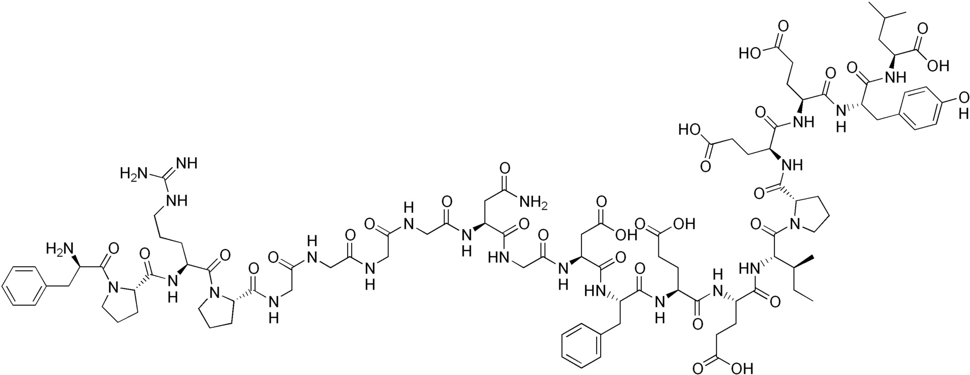
   Chemický vzorec  

Obchodní název   Obchodní název     

Trade names are indicative and excipients composition can be different depending on the country and manufacturers

Amuprux Argentina
Angiomax Austrálie, Chile, Kanada, nový Zéland, Peru, USA, Venezuela
Angiox äpanÏlsko, Dánsko, Finsko, Island, Itálie, MaÔarsko, Nizozemsko, Norsko, Polsko, Rakousko, Rumunsko, Slovinsko, USA, Velká Británie, ÿecko
Bivalirudin Belgie, Dánsko, Finsko, NÏmecko, Slovinsko, Švédsko, Velká Británie
Bivalirudina äpanÏlsko, Itálie
Odkazy   injekce   Odkazy : Bivalirudin  
typ uveřejnění
1713 noviny Trissel LA, Saenz CA.
Compatibility screening of bivalirudin during simulated Y-site administration with other drugs.
Int J Pharm Compound 2002 ; 6: 311-315.
1944 noviny Hartman CA, Faria CE, Mago K.
Visual compatibility of bivalirudin with selected drugs.
Am J Health-Syst Pharm 2004 ; 61: 1774.
3539 Laboratoř Bivalirudin (Angiox®) - Summary of Product Characteristics.
The Medecines Company 2013

  Mentions Légales