Senaste uppdateringen :
18/03/2026
Antiepileptikum   Fosphenytoin sodium  
injektion
Lösningars stabilitet Stabilitet i blandningar Faktorer som påverkar stabiliteten Kompatibilitet Administreringssätt Hänvisningar pdf
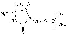
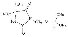
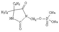
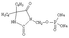
   Molekylstruktur  

Varunamn   Varunamn     

Angivna handelsnamn på läkemedel är enbart vägledande då formulering inklusive hjälpämnen kan variera mellan länder och tillverkare

Cerebryx Förenta Staterna, Kanada
Fosphen Indien
Fostoin Japan
Pro - Epanutin Danmark, Finland, Irland, Island, Luxemburg, Nederländerna, Norge, Österrike, Storbritannien, Sverige
Prodilantin Danmark, Finland, Förenta Staterna, Frankrike, Grekland, Irland, Island, Japan, Nederländerna, Österrike, Polen, Ungern
Sesquient Förenta Staterna
Kompatibilitet   injektion   Kompatibilitet : Fosphenytoin sodium              
Den här skärmen visar kompatibiliteten eller inkompatibiliteten med, i detta fall, typen av inkompatibilitet (utfällning, färgförändring, modifiering av en emulsion, etc.). De kompatibiliteter som visas här är oftast endast fysiska, varvid den kemiska stabiliteten för varje molekyl sällan utvärderas. Utvärderingen av dessa blandningar studerades för att överväga möjligheten för Y-platsadministrering till patienten. Dessa data kan inte användas för att göra blandningar i förväg i påsar eller sprutor. Denna typ av information finns på skärmen "Stabilitet i blandning".
Substans Lösningsmedel Hänvisningar
Kompatibel
injektion Fosphenytoin sodium 50 mg/ml
Parenteral nutrition (binär blandning) 3379
Utfällning efter 4 timmar Oförenlig
injektion Fosphenytoin sodium 20 mg/ml
injektion Fenoldopam mesylate 80 µg/ml
Natriumklorid 0,9 % 1803
Grumlighet på 4 timmar Oförenlig
injektion Fosphenytoin sodium 10 mg/ml
Parenteral nutrition (med lipider) 4370
Omedelbar nederbörd Oförenlig
injektion Fosphenytoin sodium 10 mg/ml
Parenteral nutrition (med lipider) 3967
Kompatibel
injektion Fosphenytoin sodium 37,5 mg/ml
injektion Imipenem-Cilastatin / Relebactam 5 mg/ml
Glukos 5 % 4433
Omedelbar grumlighet Oförenlig
injektion Fosphenytoin sodium 25 mg/ml
injektion Isavuconazonium sulfate 1.5 mg/ml
Glukos 5 % 3829
Kompatibel
injektion Fosphenytoin sodium
Glukos 5 % 5074
Kompatibel
injektion Fosphenytoin sodium 37,5 mg/ml
injektion Imipenem-Cilastatin / Relebactam 5 mg/ml
Natriumklorid 0,9 % 4433
Omedelbar grumlighet Oförenlig
injektion Fosphenytoin sodium 25 mg/ml
injektion Isavuconazonium sulfate 1.5 mg/ml
Natriumklorid 0,9 % 3829
Kompatibel
injektion Fosphenytoin sodium
Natriumklorid 0,9 % 5074
Kompatibel
injektion Fosphenytoin sodium 15 mg/ml
injektion Levetiracetam 5 mg/ml
Natriumklorid 0,9 % 4569
Kompatibel
injektion Fosphenytoin sodium 5 mg/ml
injektion Lorazepam 1 mg/ml
Natriumklorid 0,9 % 1419
Omedelbar nederbörd Oförenlig
injektion Fosphenytoin sodium 5 mg/ml
injektion Midazolam hydrochloride 2 mg/ml
Natriumklorid 0,9 % 1419
Kompatibel
injektion Fosphenytoin sodium 5 mg/ml
injektion Phenobarbital sodium 65 mg/ml
Natriumklorid 0,9 % 1412
Kompatibel
injektion Fosphenytoin sodium 25 mg/ml
injektion Plazomicin sulfate 24 mg/ml
Natriumklorid 0,9 % 4145
Kompatibel
injektion Fosphenytoin sodium 25 mg/ml
injektion Sulbactam/durlobactam 15/15 mg/ml
Natriumklorid 0,9 % 4801
Kompatibel
injektion Fosphenytoin sodium 25 mg/ml
injektion Tedizolid phosphate 0.8 mg/ml
Natriumklorid 0,9 % 3827
Kompatibel
injektion Fosphenytoin sodium
injektion Valproic acid 2 & 20 mg/ml
Natriumklorid 0,9 % 4428
Kompatibel
injektion Fosphenytoin sodium
injektion Valproic acid 2 & 20 mg/ml
Glukos 5 % 4428

  Mentions Légales