Posledná aktualizácia :
18/03/2026
antiepileptikum   Fosphenytoin sodium  
Injekcia
Stabilita roztokov Stabilita v zmesiach Faktory ovplyvňujúce stabilitu Kompatibility spôsob podania Odkazy na literatúru PDF
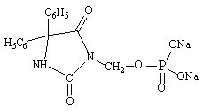
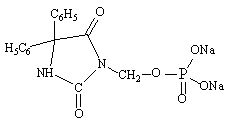
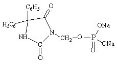
   Chemický vzorec  

Obchodný názov   Obchodný názov     

Obchodné názvy sú orientačné, a zloženie pomocných látok sa môže líšiť v závislosti od krajiny a výrobcu.

Cerebryx Kanada, Spojené štáty Americké
Fosphen India
Fostoin Japonsko
Pro - Epanutin Dánsko, Fínsko, Holandsko, Írsko, Island, Luxembursko, Nórsko, Rakúsko, Švédsko, Veľká Británia
Prodilantin Dánsko, Fínsko, Francúzsko, Grécko, Holandsko, Írsko, Island, Japonsko, Maďarsko, Poľsko, Rakúsko, Spojené štáty Americké
Sesquient Spojené štáty Americké
Kompatibility   Injekcia   Kompatibility : Fosphenytoin sodium              
Toto okno zobrazuje kompatibility alebo inkombatibility, v prípade inkompatibility aj jej typ (vyzrážanie, zmena farby, zmena emulzie atď.). Tu vymenované kompatibility sú väčšinou len fyzikálne, chemická stabilita každej zo zlúčenín sa hodnotila len zriedkavo. Tieto zmesi sa skúmali za účelom možnosti súbežného podávania pacientovi cez infúznu spojku Y. Údaje sa nedajú použiť na prípravu zmesí vo vakoch alebo striekačkách. Taká informácia sa nachádza v okne „Stabilita v zmesiach“.
Zlúčenina rozpúšťadlo odkazy na lieteratúru
kompatibilný
Injekcia Fosphenytoin sodium 50 mg/ml
parenterálna výživa (binárna zmes) 3379
Zrážky po 4 hodinách nezlučiteľný
Injekcia Fosphenytoin sodium 20 mg/ml
Injekcia Fenoldopam mesylate 80 µg/ml
0,9% chlorid sodný 1803
Zákal za 4 hodiny nezlučiteľný
Injekcia Fosphenytoin sodium 10 mg/ml
Parenterálna výživa (lipidy) 4370
Okamžité zrážanie nezlučiteľný
Injekcia Fosphenytoin sodium 10 mg/ml
Parenterálna výživa (lipidy) 3967
kompatibilný
Injekcia Fosphenytoin sodium 37,5 mg/ml
Injekcia Imipenem-Cilastatin / Relebactam 5 mg/ml
5% glukóza 4433
Okamžitá zákal nezlučiteľný
Injekcia Fosphenytoin sodium 25 mg/ml
Injekcia Isavuconazonium sulfate 1.5 mg/ml
5% glukóza 3829
kompatibilný
Injekcia Fosphenytoin sodium
5% glukóza 5074
kompatibilný
Injekcia Fosphenytoin sodium 37,5 mg/ml
Injekcia Imipenem-Cilastatin / Relebactam 5 mg/ml
0,9% chlorid sodný 4433
Okamžitá zákal nezlučiteľný
Injekcia Fosphenytoin sodium 25 mg/ml
Injekcia Isavuconazonium sulfate 1.5 mg/ml
0,9% chlorid sodný 3829
kompatibilný
Injekcia Fosphenytoin sodium
0,9% chlorid sodný 5074
kompatibilný
Injekcia Fosphenytoin sodium 15 mg/ml
Injekcia Levetiracetam 5 mg/ml
0,9% chlorid sodný 4569
kompatibilný
Injekcia Fosphenytoin sodium 5 mg/ml
Injekcia Lorazepam 1 mg/ml
0,9% chlorid sodný 1419
Okamžité zrážanie nezlučiteľný
Injekcia Fosphenytoin sodium 5 mg/ml
Injekcia Midazolam hydrochloride 2 mg/ml
0,9% chlorid sodný 1419
kompatibilný
Injekcia Fosphenytoin sodium 5 mg/ml
Injekcia Phenobarbital sodium 65 mg/ml
0,9% chlorid sodný 1412
kompatibilný
Injekcia Fosphenytoin sodium 25 mg/ml
Injekcia Plazomicin sulfate 24 mg/ml
0,9% chlorid sodný 4145
kompatibilný
Injekcia Fosphenytoin sodium 25 mg/ml
Injekcia Sulbactam/durlobactam 15/15 mg/ml
0,9% chlorid sodný 4801
kompatibilný
Injekcia Fosphenytoin sodium 25 mg/ml
Injekcia Tedizolid phosphate 0.8 mg/ml
0,9% chlorid sodný 3827
kompatibilný
Injekcia Fosphenytoin sodium
Injekcia Valproic acid 2 & 20 mg/ml
0,9% chlorid sodný 4428
kompatibilný
Injekcia Fosphenytoin sodium
Injekcia Valproic acid 2 & 20 mg/ml
5% glukóza 4428

  Mentions Légales