Ultimele actualizari :
18/03/2026
Antiepileptic   Fosphenytoin sodium  
Injectabil
Stabilitatea in solutie Stabilitatea in amestec Factorii care influenteaza stabilitatea Compatibilitate Microunde Bibliografie pdf
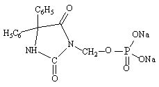
   Formula chimica  

Denumirea comerciala   Denumirea comerciala     

Trade names are indicative and excipients composition can be different depending on the country and manufacturers

Cerebryx Canada, SUA
Fosphen India
Fostoin Japonia
Pro - Epanutin Austria, Danemarca, Finlanda, Irlanda, Islanda, Luxemburg, Marea Britanie, Norvegia, Olanda, Suedia
Prodilantin Austria, Danemarca, Finlanda, Franta, Grecia, Irlanda, Islanda, Japonia, Olanda, Polonia, SUA, Ungaria
Sesquient SUA
Compatibilitate   Injectabil   Compatibilitate : Fosphenytoin sodium              
Acest ecran indică compatibilitățile sau incompatibilitățile cu, în acest caz, tipul de incompatibilitate (precipitații, schimbarea culorii, modificarea unei emulsii etc.). Compatibilitățile prezentate aici sunt în mare parte numai fizice, stabilitatea chimică a fiecărei molecule fiind rareori evaluată. Evaluarea acestor amestecuri a fost studiată pentru a lua în considerare posibilitatea administrării site-ului Y la pacient. Aceste date nu pot fi utilizate pentru prepararea în prealabil a amestecurilor în pungi sau seringi. Acest tip de informații este disponibil în ecranul „Stabilitate în amestec».
Molecula (substanta activa) Solvent Bibiografie
Compatibil
Injectabil Fosphenytoin sodium 50 mg/ml
Nutritie parenterala (amestec binar) 3379
Precipitații după 4 ore Incompatibil
Injectabil Fosphenytoin sodium 20 mg/ml
Injectabil Fenoldopam mesylate 80 µg/ml
clorura de sodiu 0,9% 1803
Turbiditate în 4 ore Incompatibil
Injectabil Fosphenytoin sodium 10 mg/ml
Nutriție parenterală (cu lipide) 4370
Precipitații imediate Incompatibil
Injectabil Fosphenytoin sodium 10 mg/ml
Nutriție parenterală (cu lipide) 3967
Compatibil
Injectabil Fosphenytoin sodium 37,5 mg/ml
Injectabil Imipenem-Cilastatin / Relebactam 5 mg/ml
Glucoza 5% 4433
Turbiditate imediată Incompatibil
Injectabil Fosphenytoin sodium 25 mg/ml
Injectabil Isavuconazonium sulfate 1.5 mg/ml
Glucoza 5% 3829
Compatibil
Injectabil Fosphenytoin sodium
Glucoza 5% 5074
Compatibil
Injectabil Fosphenytoin sodium 37,5 mg/ml
Injectabil Imipenem-Cilastatin / Relebactam 5 mg/ml
clorura de sodiu 0,9% 4433
Turbiditate imediată Incompatibil
Injectabil Fosphenytoin sodium 25 mg/ml
Injectabil Isavuconazonium sulfate 1.5 mg/ml
clorura de sodiu 0,9% 3829
Compatibil
Injectabil Fosphenytoin sodium
clorura de sodiu 0,9% 5074
Compatibil
Injectabil Fosphenytoin sodium 15 mg/ml
Injectabil Levetiracetam 5 mg/ml
clorura de sodiu 0,9% 4569
Compatibil
Injectabil Fosphenytoin sodium 5 mg/ml
Injectabil Lorazepam 1 mg/ml
clorura de sodiu 0,9% 1419
Precipitații imediate Incompatibil
Injectabil Fosphenytoin sodium 5 mg/ml
Injectabil Midazolam hydrochloride 2 mg/ml
clorura de sodiu 0,9% 1419
Compatibil
Injectabil Fosphenytoin sodium 5 mg/ml
Injectabil Phenobarbital sodium 65 mg/ml
clorura de sodiu 0,9% 1412
Compatibil
Injectabil Fosphenytoin sodium 25 mg/ml
Injectabil Plazomicin sulfate 24 mg/ml
clorura de sodiu 0,9% 4145
Compatibil
Injectabil Fosphenytoin sodium 25 mg/ml
Injectabil Sulbactam/durlobactam 15/15 mg/ml
clorura de sodiu 0,9% 4801
Compatibil
Injectabil Fosphenytoin sodium 25 mg/ml
Injectabil Tedizolid phosphate 0.8 mg/ml
clorura de sodiu 0,9% 3827
Compatibil
Injectabil Fosphenytoin sodium
Injectabil Valproic acid 2 & 20 mg/ml
clorura de sodiu 0,9% 4428
Compatibil
Injectabil Fosphenytoin sodium
Injectabil Valproic acid 2 & 20 mg/ml
Glucoza 5% 4428

  Mentions Légales