Τελευταία ενημέρωση :
18/03/2026
Αντιεπιληπτικό   Fosphenytoin sodium  
Ενέσιμο
Σταθερότητα διαλυμάτων Σταθερότητα σε μίγματα Παράγοντας που επηρεάζει τη σταθερότητα Συμβατότητες Τρόπος χορήγησης Βιβλιογραφία pdf
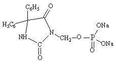
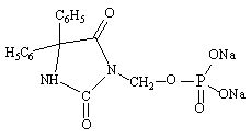
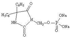
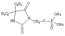
   χημική δομή  

Εμπορική ονομασία   Εμπορική ονομασία     

Οι εμπορικές ονομασίες είναι ενδεικτικές και η σύνθεση των εκδόχων μπορεί να διαφέρει ανάλογα με τη χώρα και τα εργαστήρια

Cerebryx Η.Π.Α., Καναδάς
Fosphen Ινδία
Fostoin Ιαπωνία
Pro - Epanutin Αυστρία, Δανία, Ιρλανδία, Ισλανδία, Λουξεμβούργο, Μεγάλη Βρετανία, Νορβηγία, Ολλανδία, Σουηδία, Φινλανδία
Prodilantin Αυστρία, Γαλλία, Δανία, Ελλάδα, Η.Π.Α., Ιαπωνία, Ιρλανδία, Ισλανδία, Ολλανδία, Ουγγαρία, Πολωνία, Φινλανδία
Sesquient Η.Π.Α.
Συμβατότητες    Ενέσιμο   Συμβατότητες : Fosphenytoin sodium              
Σε αυτή την οθόνη εμφανίζονται οι συμβατότητες ή ασυμβατότητες. Σε αυτή την περίπτωση εμφανίζονται το είδος της ασυμβατότητας (ίζημα, αλλαγή χρώματος, μεταβολή γαλακτώματος, κλπ). Οι συμβατότητες που παρουσιάζονται εδώ είναι κυρίως φυσικές, ενώ η χημική σταθερότητα κάθε μορίου σπάνια περιλαμβάνεται. Η αξιολόγηση αυτών των μιγμάτων μελετήθηκε προκειμένου να εκτιμηθεί η πιθανότητα χορήγησης στον ασθενή στο Υ κέντρο. Τα δεδομένα αυτά δεν μπορούν να χρησιμοποιηθούν για την εκ των προτέρων δημιουργία μιγμάτων σε ασκούς ή σύριγγες. Αυτό το είδος πληροφορίας υπάρχει και μπορεί να αναζητηθεί στην οθόνη «Σταθερότητα σε μίγμα».
Συστατικό Διαλυτικό Βιβλιογραφία
Σύμφωνος
Ενέσιμο Fosphenytoin sodium 50 mg/ml
Παρεντερική  θρέψη (ελεύθερο λιπιδίων) 3379
Καταβύθιση μετά από 4 ώρες Ασύμβατες
Ενέσιμο Fosphenytoin sodium 20 mg/ml
Ενέσιμο Fenoldopam mesylate 80 µg/ml
Χλωριούχο νάτριο 0,9% 1803
Θολότητα σε 4 ώρες Ασύμβατες
Ενέσιμο Fosphenytoin sodium 10 mg/ml
Παρεντερική διατροφή (με λιπίδια) 4370
Άμεση βροχόπτωση Ασύμβατες
Ενέσιμο Fosphenytoin sodium 10 mg/ml
Παρεντερική διατροφή (με λιπίδια) 3967
Σύμφωνος
Ενέσιμο Fosphenytoin sodium 37,5 mg/ml
Ενέσιμο Imipenem-Cilastatin / Relebactam 5 mg/ml
Γλυκόζη 5% 4433
Άμεση θολότητα Ασύμβατες
Ενέσιμο Fosphenytoin sodium 25 mg/ml
Ενέσιμο Isavuconazonium sulfate 1.5 mg/ml
Γλυκόζη 5% 3829
Σύμφωνος
Ενέσιμο Fosphenytoin sodium
Γλυκόζη 5% 5074
Σύμφωνος
Ενέσιμο Fosphenytoin sodium 37,5 mg/ml
Ενέσιμο Imipenem-Cilastatin / Relebactam 5 mg/ml
Χλωριούχο νάτριο 0,9% 4433
Άμεση θολότητα Ασύμβατες
Ενέσιμο Fosphenytoin sodium 25 mg/ml
Ενέσιμο Isavuconazonium sulfate 1.5 mg/ml
Χλωριούχο νάτριο 0,9% 3829
Σύμφωνος
Ενέσιμο Fosphenytoin sodium
Χλωριούχο νάτριο 0,9% 5074
Σύμφωνος
Ενέσιμο Fosphenytoin sodium 15 mg/ml
Ενέσιμο Levetiracetam 5 mg/ml
Χλωριούχο νάτριο 0,9% 4569
Σύμφωνος
Ενέσιμο Fosphenytoin sodium 5 mg/ml
Ενέσιμο Lorazepam 1 mg/ml
Χλωριούχο νάτριο 0,9% 1419
Άμεση βροχόπτωση Ασύμβατες
Ενέσιμο Fosphenytoin sodium 5 mg/ml
Ενέσιμο Midazolam hydrochloride 2 mg/ml
Χλωριούχο νάτριο 0,9% 1419
Σύμφωνος
Ενέσιμο Fosphenytoin sodium 5 mg/ml
Ενέσιμο Phenobarbital sodium 65 mg/ml
Χλωριούχο νάτριο 0,9% 1412
Σύμφωνος
Ενέσιμο Fosphenytoin sodium 25 mg/ml
Ενέσιμο Plazomicin sulfate 24 mg/ml
Χλωριούχο νάτριο 0,9% 4145
Σύμφωνος
Ενέσιμο Fosphenytoin sodium 25 mg/ml
Ενέσιμο Sulbactam/durlobactam 15/15 mg/ml
Χλωριούχο νάτριο 0,9% 4801
Σύμφωνος
Ενέσιμο Fosphenytoin sodium 25 mg/ml
Ενέσιμο Tedizolid phosphate 0.8 mg/ml
Χλωριούχο νάτριο 0,9% 3827
Σύμφωνος
Ενέσιμο Fosphenytoin sodium
Ενέσιμο Valproic acid 2 & 20 mg/ml
Χλωριούχο νάτριο 0,9% 4428
Σύμφωνος
Ενέσιμο Fosphenytoin sodium
Ενέσιμο Valproic acid 2 & 20 mg/ml
Γλυκόζη 5% 4428

  Mentions Légales