Ultimo aggiornamento :
18/03/2026
Antiepilettico   Fosphenytoin sodium  
Iniezione
Stabilità in soluzione Stabilità in miscela Fattori che influenzano la stabilità Compatibilità metodo di iniezione Bibliografia pdf
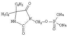
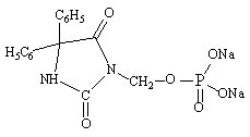
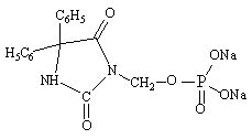
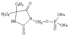
   Struttura chimica  

Nome commerciale   Nome commerciale     

Trade names are indicative and excipients composition can be different depending on the country and manufacturers

Cerebryx Canada, Stati Uniti d’America
Fosphen India
Fostoin Giappone
Pro - Epanutin Austria, Danimarca, Finlandia, Gran Bretagna, Irlanda, Islanda, Lussemburgo, Norvegia, Paesi Bassi, Svezia
Prodilantin Austria, Danimarca, Finlandia, Francia, Giappone, Grecia, Irlanda, Islanda, Paesi Bassi, Polonia, Stati Uniti d’America, Ungheria
Sesquient Stati Uniti d’America
Compatibilità   Iniezione   Compatibilità : Fosphenytoin sodium              

  Mentions Légales