Последнее обновление :
18/03/2026
Противоэпилептическое средство   Fosphenytoin sodium  
Инъекция
Стабильность растворов Стабильность смесей Факторы, которые влияют на стабильность Совместимость Способы введения Библиография pdf
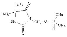
   Химическая структура  

Товарное название   Товарное название     

Trade names are indicative and excipients composition can be different depending on the country and manufacturers

Cerebryx Канада, Соединённые Штаты Америки
Fosphen Индия
Fostoin Япония
Pro - Epanutin Австрия, Великобритания, Голландия, Дания, Ирландия, Исландия, Люксембург, Норвегия, Финляндия, Швеция
Prodilantin Австрия, Венгрия, Голландия, Греция, Дания, Ирландия, Исландия, Польша, Соединённые Штаты Америки, Финляндия, Франция, Япония
Sesquient Соединённые Штаты Америки
Совместимость   Инъекция   Совместимость : Fosphenytoin sodium              
Эта таблица показывает совместимость или несовместимость препаратов, по возможности тип несовместимости (преципитат, смена цвета, разложение эмульсии и др.). Показанные здесь совместимости в основном физические, по возможности указана и химическая стабильность каждой молекулы. Анализ этих смесей произведён для исследования возможности ввести препараты пациенту в Y-соединении систем. Эти данные нельзя использовать, чтобы приготовить лекарства на будущее в мешках или шприцах. Эта информация доступна в разделе "Стабильность смесей".
Молекула Растворитель Ссылки
совместимый
Инъекция Fosphenytoin sodium 50 mg/ml
Парентеральное питание (бинарная смесь) 3379
Осадки через 4 часа несовместимый
Инъекция Fosphenytoin sodium 20 mg/ml
Инъекция Fenoldopam mesylate 80 µg/ml
Натрия хлорид 0,9% 1803
Мутность за 4 часа несовместимый
Инъекция Fosphenytoin sodium 10 mg/ml
Парентеральное питание (с липидами) 4370
Немедленные осадки несовместимый
Инъекция Fosphenytoin sodium 10 mg/ml
Парентеральное питание (с липидами) 3967
совместимый
Инъекция Fosphenytoin sodium 37,5 mg/ml
Инъекция Imipenem-Cilastatin / Relebactam 5 mg/ml
Глюкоза 5% 4433
Немедленная мутность несовместимый
Инъекция Fosphenytoin sodium 25 mg/ml
Инъекция Isavuconazonium sulfate 1.5 mg/ml
Глюкоза 5% 3829
совместимый
Инъекция Fosphenytoin sodium
Глюкоза 5% 5074
совместимый
Инъекция Fosphenytoin sodium 37,5 mg/ml
Инъекция Imipenem-Cilastatin / Relebactam 5 mg/ml
Натрия хлорид 0,9% 4433
Немедленная мутность несовместимый
Инъекция Fosphenytoin sodium 25 mg/ml
Инъекция Isavuconazonium sulfate 1.5 mg/ml
Натрия хлорид 0,9% 3829
совместимый
Инъекция Fosphenytoin sodium
Натрия хлорид 0,9% 5074
совместимый
Инъекция Fosphenytoin sodium 15 mg/ml
Инъекция Levetiracetam 5 mg/ml
Натрия хлорид 0,9% 4569
совместимый
Инъекция Fosphenytoin sodium 5 mg/ml
Инъекция Lorazepam 1 mg/ml
Натрия хлорид 0,9% 1419
Немедленные осадки несовместимый
Инъекция Fosphenytoin sodium 5 mg/ml
Инъекция Midazolam hydrochloride 2 mg/ml
Натрия хлорид 0,9% 1419
совместимый
Инъекция Fosphenytoin sodium 5 mg/ml
Инъекция Phenobarbital sodium 65 mg/ml
Натрия хлорид 0,9% 1412
совместимый
Инъекция Fosphenytoin sodium 25 mg/ml
Инъекция Plazomicin sulfate 24 mg/ml
Натрия хлорид 0,9% 4145
совместимый
Инъекция Fosphenytoin sodium 25 mg/ml
Инъекция Sulbactam/durlobactam 15/15 mg/ml
Натрия хлорид 0,9% 4801
совместимый
Инъекция Fosphenytoin sodium 25 mg/ml
Инъекция Tedizolid phosphate 0.8 mg/ml
Натрия хлорид 0,9% 3827
совместимый
Инъекция Fosphenytoin sodium
Инъекция Valproic acid 2 & 20 mg/ml
Натрия хлорид 0,9% 4428
совместимый
Инъекция Fosphenytoin sodium
Инъекция Valproic acid 2 & 20 mg/ml
Глюкоза 5% 4428

  Mentions Légales