Last update :
18/03/2026
Antiepileptic   Fosphenytoin sodium  
injection
Stability in solutions Stability of mixtures Factors which affect stability Compatibility Route of administration References pdf
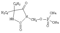
   Chemical structure  

Tradename   Tradename     

Trade names are indicative and excipients composition can be different depending on the country and manufacturers

Cerebryx Canada, United States of America
Fosphen India
Fostoin Japan
Pro - Epanutin Austria, Denmark, Finland, Great Britain, Iceland, Ireland, Luxembourg, Netherlands, Norway, Sweden
Prodilantin Austria, Denmark, Finland, France, Greece, Hungary, Iceland, Ireland, Japan, Netherlands, Poland, United States of America
Sesquient United States of America
Compatibility   injection   Compatibility : Fosphenytoin sodium              
This screen indicates the compatibilities or incompatibilities with, in this case, the type of incompatibility (precipitation, color change, modification of an emulsion, etc.). The compatibilities shown here are mostly physical only, with the chemical stability of each molecule rarely being assessed. The evaluation of these mixtures was studied to consider the possibility of Y-site administration to the patient. These data cannot be used for making mixtures in advance in bags or syringes. This type of information is available in the screen "Stability in mixture ».
Compound Solvent References
Compatible
injection Fosphenytoin sodium 50 mg/ml
Parenteral nutrition (binary mixture) 3379
Precipitation after 4 hours Incompatible
injection Fosphenytoin sodium 20 mg/ml
injection Fenoldopam mesylate 80 µg/ml
Sodium chloride 0,9% 1803
Turbidity in 4 hours Incompatible
injection Fosphenytoin sodium 10 mg/ml
Parenteral nutrition (with lipids) 4370
Immediate precipitation Incompatible
injection Fosphenytoin sodium 10 mg/ml
Parenteral nutrition (with lipids) 3967
Compatible
injection Fosphenytoin sodium 37,5 mg/ml
injection Imipenem-Cilastatin / Relebactam 5 mg/ml
Glucose 5% 4433
Immediate turbidity Incompatible
injection Fosphenytoin sodium 25 mg/ml
injection Isavuconazonium sulfate 1.5 mg/ml
Glucose 5% 3829
Compatible
injection Fosphenytoin sodium
Glucose 5% 5074
Compatible
injection Fosphenytoin sodium 37,5 mg/ml
injection Imipenem-Cilastatin / Relebactam 5 mg/ml
Sodium chloride 0,9% 4433
Immediate turbidity Incompatible
injection Fosphenytoin sodium 25 mg/ml
injection Isavuconazonium sulfate 1.5 mg/ml
Sodium chloride 0,9% 3829
Compatible
injection Fosphenytoin sodium
Sodium chloride 0,9% 5074
Compatible
injection Fosphenytoin sodium 15 mg/ml
injection Levetiracetam 5 mg/ml
Sodium chloride 0,9% 4569
Compatible
injection Fosphenytoin sodium 5 mg/ml
injection Lorazepam 1 mg/ml
Sodium chloride 0,9% 1419
Immediate precipitation Incompatible
injection Fosphenytoin sodium 5 mg/ml
injection Midazolam hydrochloride 2 mg/ml
Sodium chloride 0,9% 1419
Compatible
injection Fosphenytoin sodium 5 mg/ml
injection Phenobarbital sodium 65 mg/ml
Sodium chloride 0,9% 1412
Compatible
injection Fosphenytoin sodium 25 mg/ml
injection Plazomicin sulfate 24 mg/ml
Sodium chloride 0,9% 4145
Compatible
injection Fosphenytoin sodium 25 mg/ml
injection Sulbactam/durlobactam 15/15 mg/ml
Sodium chloride 0,9% 4801
Compatible
injection Fosphenytoin sodium 25 mg/ml
injection Tedizolid phosphate 0.8 mg/ml
Sodium chloride 0,9% 3827
Compatible
injection Fosphenytoin sodium
injection Valproic acid 2 & 20 mg/ml
Sodium chloride 0,9% 4428
Compatible
injection Fosphenytoin sodium
injection Valproic acid 2 & 20 mg/ml
Glucose 5% 4428

  Mentions Légales