Dernière mise à jour :
18/03/2026
Antiépileptique   Fosphenytoin sodium  
injectable
Stabilité des solutions Stabilité en mélange Facteur influençant la stabilité Compatibilités Voie d’administration Bibliographie pdf
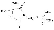
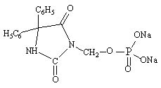
   Structure chimique  

Noms commerciaux   Noms commerciaux     

Les noms commerciaux sont donnés à titre indicatif et la composition en excipients peut être différente selon les pays et selon les laboratoires

Cerebryx Canada, Etats Unis d’Amérique
Fosphen Inde
Fostoin Japon
Pro - Epanutin Autriche, Danemark, Finlande, Grande Bretagne, Irlande, Islande, Luxembourg, Norvège, Pays bas, Suède
Prodilantin Autriche, Danemark, Etats Unis d’Amérique, Finlande, France, Grèce, Hongrie, Irlande, Islande, Japon, Pays bas, Pologne
Sesquient Etats Unis d’Amérique
Compatibilités   injectable   Compatibilités : Fosphenytoin sodium              
Cet écran indique les compatibilités ou incompatibilités avec, dans ce cas, le type d'incompatibilité (précipitation, changement de couleur, modification d'une émulsion, etc.). Les compatibilités présentées ici sont pour la plupart uniquement physiques, la stabilité chimique de chaque molécule étant rarement évaluée. L'évaluation de ces mélanges a été étudiée pour envisager la possibilité d'une administration en site Y au patient. Ces données ne peuvent pas être utilisées pour préparer des mélanges à l'avance dans des poches de perfusion ou des seringues. Ce type d'informations est disponible dans l'écran « Stabilité en mélange ».
Molécule Solvant Bibliographie
Compatible
injectable Fosphenytoin sodium 50 mg/ml
Nutrition parentérale (mélange binaire) 3379
Précipitation en 4 heures Incompatible
injectable Fosphenytoin sodium 20 mg/ml
injectable Fenoldopam mesylate 80 µg/ml
Chlorure de sodium 0,9% 1803
Turbidité en 4 heures Incompatible
injectable Fosphenytoin sodium 10 mg/ml
Nutrition parentérale (mélange ternaire) 4370
Précipitation immédiate Incompatible
injectable Fosphenytoin sodium 10 mg/ml
Nutrition parentérale (mélange ternaire) 3967
Compatible
injectable Fosphenytoin sodium 37,5 mg/ml
injectable Imipenem-Cilastatin / Relebactam 5 mg/ml
Glucose 5% 4433
Turbidité immédiate Incompatible
injectable Fosphenytoin sodium 25 mg/ml
injectable Isavuconazonium sulfate 1.5 mg/ml
Glucose 5% 3829
Compatible
injectable Fosphenytoin sodium
Glucose 5% 5074
Compatible
injectable Fosphenytoin sodium 37,5 mg/ml
injectable Imipenem-Cilastatin / Relebactam 5 mg/ml
Chlorure de sodium 0,9% 4433
Turbidité immédiate Incompatible
injectable Fosphenytoin sodium 25 mg/ml
injectable Isavuconazonium sulfate 1.5 mg/ml
Chlorure de sodium 0,9% 3829
Compatible
injectable Fosphenytoin sodium
Chlorure de sodium 0,9% 5074
Compatible
injectable Fosphenytoin sodium 15 mg/ml
injectable Levetiracetam 5 mg/ml
Chlorure de sodium 0,9% 4569
Compatible
injectable Fosphenytoin sodium 5 mg/ml
injectable Lorazepam 1 mg/ml
Chlorure de sodium 0,9% 1419
Précipitation immédiate Incompatible
injectable Fosphenytoin sodium 5 mg/ml
injectable Midazolam hydrochloride 2 mg/ml
Chlorure de sodium 0,9% 1419
Compatible
injectable Fosphenytoin sodium 5 mg/ml
injectable Phenobarbital sodium 65 mg/ml
Chlorure de sodium 0,9% 1412
Compatible
injectable Fosphenytoin sodium 25 mg/ml
injectable Plazomicin sulfate 24 mg/ml
Chlorure de sodium 0,9% 4145
Compatible
injectable Fosphenytoin sodium 25 mg/ml
injectable Sulbactam/durlobactam 15/15 mg/ml
Chlorure de sodium 0,9% 4801
Compatible
injectable Fosphenytoin sodium 25 mg/ml
injectable Tedizolid phosphate 0.8 mg/ml
Chlorure de sodium 0,9% 3827
Compatible
injectable Fosphenytoin sodium
injectable Valproic acid 2 & 20 mg/ml
Chlorure de sodium 0,9% 4428
Compatible
injectable Fosphenytoin sodium
injectable Valproic acid 2 & 20 mg/ml
Glucose 5% 4428

  Mentions Légales