Siste oppdatering :
18/03/2026
Antiepileptika   Fosphenytoin sodium  
Injeksjon
Oppløsningsstabilitet Stabilitet i blandinger Faktorer som påvirker stabiliteten Kompatibilitet Administrasjonsmåte Referanser pdf
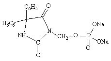
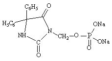
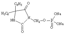
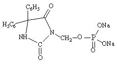
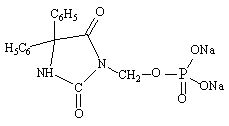
   Kjemisk struktur  

Handelsnavn   Handelsnavn     

Handelsnavn er veiledende og sammensetning av hjelpestoffer kan være forskjellig avhengig av land og produsent

Cerebryx Canada, USA
Fosphen India
Fostoin Japan
Pro - Epanutin Danmark, Finland, Irland, Island, Luxembourg, Nederland, Norge, Storbritannia, Sverige, Østerrike
Prodilantin Danmark, Finland, Frankrike, Hellas, Irland, Island, Japan, Nederland, Polen, Ungarn, USA, Østerrike
Sesquient USA
Kompatibilitet   Injeksjon   Kompatibilitet : Fosphenytoin sodium              
Dette skjermbildet viser kompatibilitet eller inkompatibilitet med, i dette tilfellet, typen inkompatibilitet (nedbør, fargeendring, modifisering av en emulsjon, etc.). Kompatibilitetene som er vist her, er for det meste bare fysiske, og den kjemiske stabiliteten til hvert molekyl blir sjelden vurdert. Evalueringen av disse blandingene ble studert for å vurdere muligheten for Y-stedadministrasjon til pasienten. Disse dataene kan ikke brukes til å lage blandinger på forhånd i poser eller sprøyter. Denne typen informasjon er tilgjengelig på skjermen "Stabilitet i blanding".
Legemiddel Oppløsningsmiddel Referanser
Kompatibel
Injeksjon Fosphenytoin sodium 50 mg/ml
Parenteral ernæring(lipid-free) 3379
Nedbør etter 4 timer Uforenlig
Injeksjon Fosphenytoin sodium 20 mg/ml
Injeksjon Fenoldopam mesylate 80 µg/ml
Natriumklorid 0,9 % 1803
Turbiditet på 4 timer Uforenlig
Injeksjon Fosphenytoin sodium 10 mg/ml
Parenteral ernæring (med lipider) 4370
Umiddelbar nedbør Uforenlig
Injeksjon Fosphenytoin sodium 10 mg/ml
Parenteral ernæring (med lipider) 3967
Kompatibel
Injeksjon Fosphenytoin sodium 37,5 mg/ml
Injeksjon Imipenem-Cilastatin / Relebactam 5 mg/ml
Glukose 5 % 4433
Umiddelbar turbiditet Uforenlig
Injeksjon Fosphenytoin sodium 25 mg/ml
Injeksjon Isavuconazonium sulfate 1.5 mg/ml
Glukose 5 % 3829
Kompatibel
Injeksjon Fosphenytoin sodium
Glukose 5 % 5074
Kompatibel
Injeksjon Fosphenytoin sodium 37,5 mg/ml
Injeksjon Imipenem-Cilastatin / Relebactam 5 mg/ml
Natriumklorid 0,9 % 4433
Umiddelbar turbiditet Uforenlig
Injeksjon Fosphenytoin sodium 25 mg/ml
Injeksjon Isavuconazonium sulfate 1.5 mg/ml
Natriumklorid 0,9 % 3829
Kompatibel
Injeksjon Fosphenytoin sodium
Natriumklorid 0,9 % 5074
Kompatibel
Injeksjon Fosphenytoin sodium 15 mg/ml
Injeksjon Levetiracetam 5 mg/ml
Natriumklorid 0,9 % 4569
Kompatibel
Injeksjon Fosphenytoin sodium 5 mg/ml
Injeksjon Lorazepam 1 mg/ml
Natriumklorid 0,9 % 1419
Umiddelbar nedbør Uforenlig
Injeksjon Fosphenytoin sodium 5 mg/ml
Injeksjon Midazolam hydrochloride 2 mg/ml
Natriumklorid 0,9 % 1419
Kompatibel
Injeksjon Fosphenytoin sodium 5 mg/ml
Injeksjon Phenobarbital sodium 65 mg/ml
Natriumklorid 0,9 % 1412
Kompatibel
Injeksjon Fosphenytoin sodium 25 mg/ml
Injeksjon Plazomicin sulfate 24 mg/ml
Natriumklorid 0,9 % 4145
Kompatibel
Injeksjon Fosphenytoin sodium 25 mg/ml
Injeksjon Sulbactam/durlobactam 15/15 mg/ml
Natriumklorid 0,9 % 4801
Kompatibel
Injeksjon Fosphenytoin sodium 25 mg/ml
Injeksjon Tedizolid phosphate 0.8 mg/ml
Natriumklorid 0,9 % 3827
Kompatibel
Injeksjon Fosphenytoin sodium
Injeksjon Valproic acid 2 & 20 mg/ml
Natriumklorid 0,9 % 4428
Kompatibel
Injeksjon Fosphenytoin sodium
Injeksjon Valproic acid 2 & 20 mg/ml
Glukose 5 % 4428

  Mentions Légales