Cập nhật lần cuối :
18/03/2026
Kháng sinh   Spiramycine adipate  
Dạng tiêm
Tính ổn định của các dung dịch Độ ổn định khi trộn lẫn Những yếu tố ảnh hưởng đến độ ổn định Khả năng tương thích Đường dùng Tài liệu tham khảo Pdf
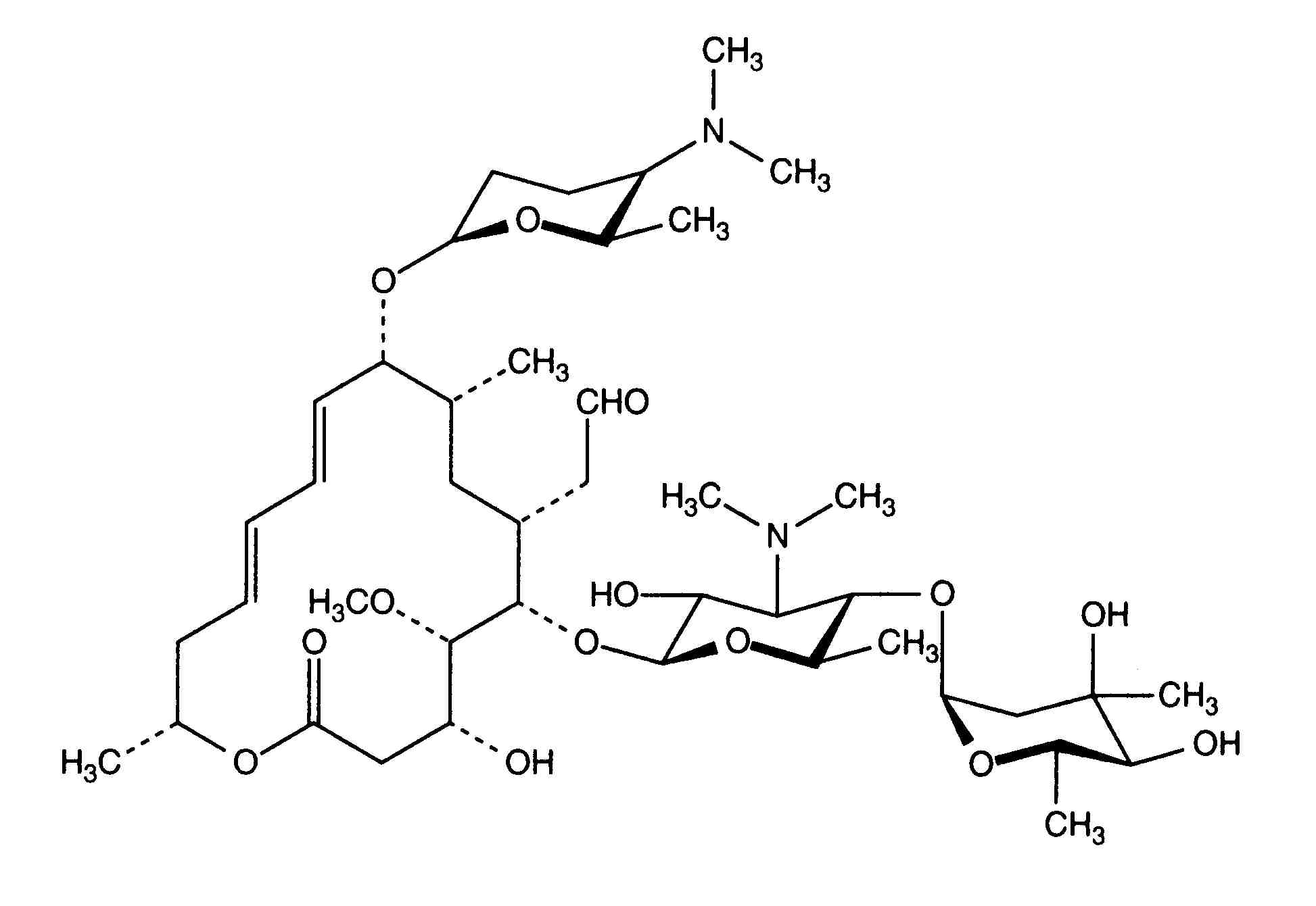
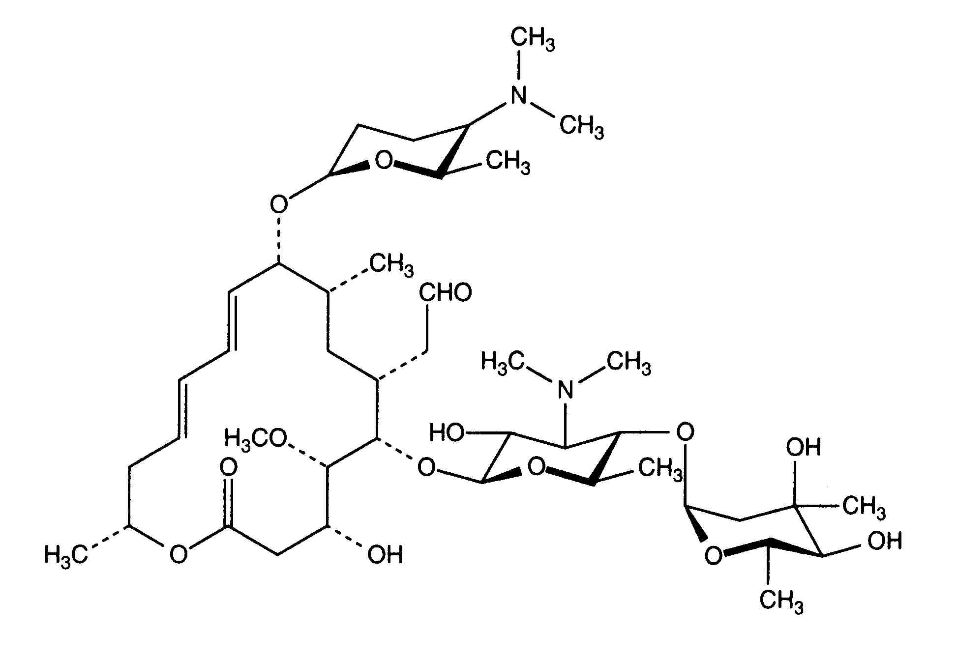
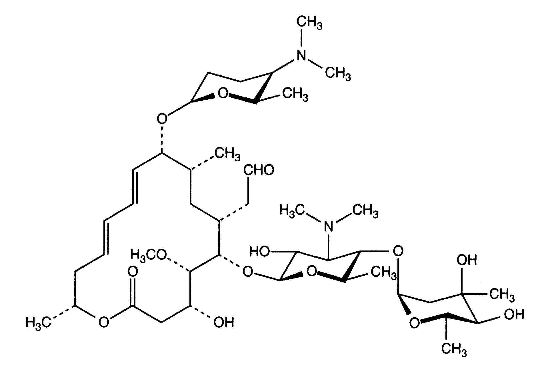
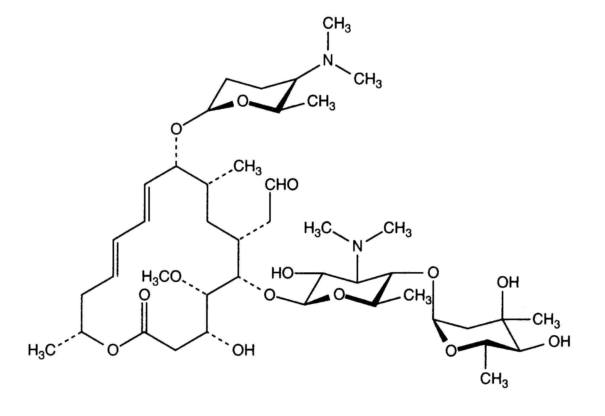
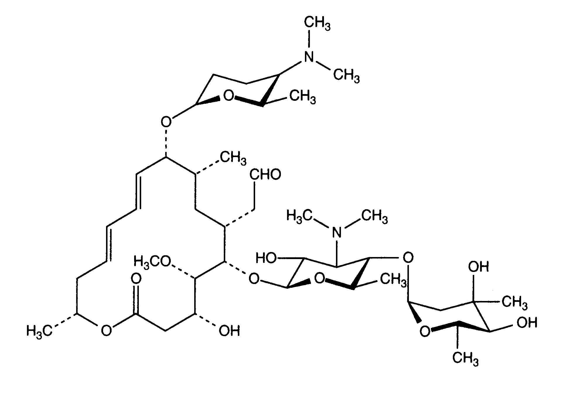
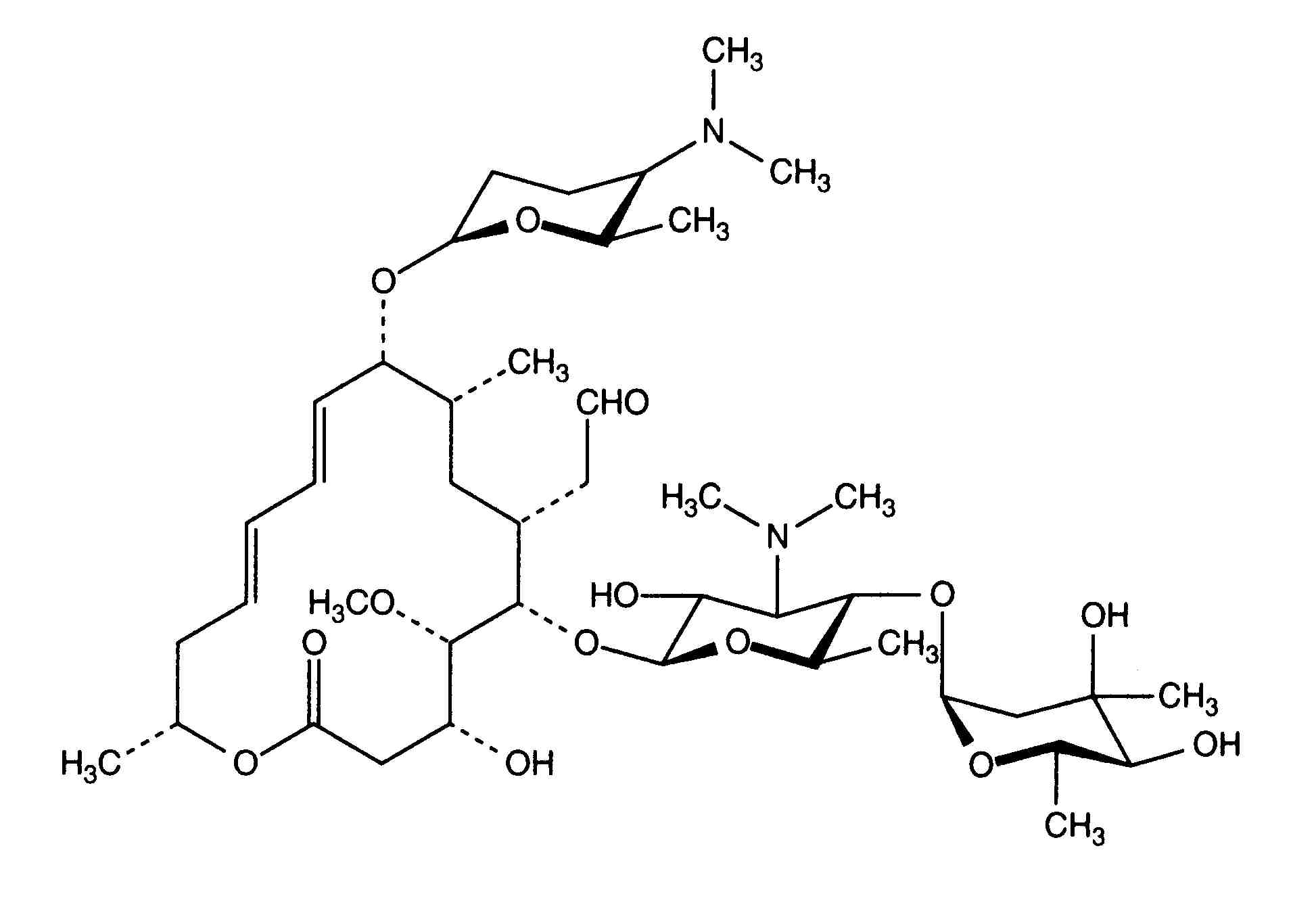
   Cấu trúc hóa học  

Tên thương mại   Tên thương mại     

Các tên thương mại được cung cấp và thành phần tá dược có thể khác nhau giữa các quốc gia và các hãng dược

Rovamycine Ba Lan, Pháp
Tính ổn định của các dung dịch   Dạng tiêm   Tính ổn định của các dung dịch : Spiramycine adipate     
Bao bì Dung môi Nồng độ Nhiệt độ Bảo quản Thời gian ổn định Mục lục
Thủy tinh Nước cất pha tiêm 0.375 MUI/ml ? Không rõ
12 Giờ
3563
Các dữ liệu về độ ổn định của nhà sản xuất


  Mentions Légales