Last update :
18/03/2026
Antibiotic   Spiramycine adipate  
injection
Stability in solutions Stability of mixtures Factors which affect stability Compatibility Route of administration References pdf
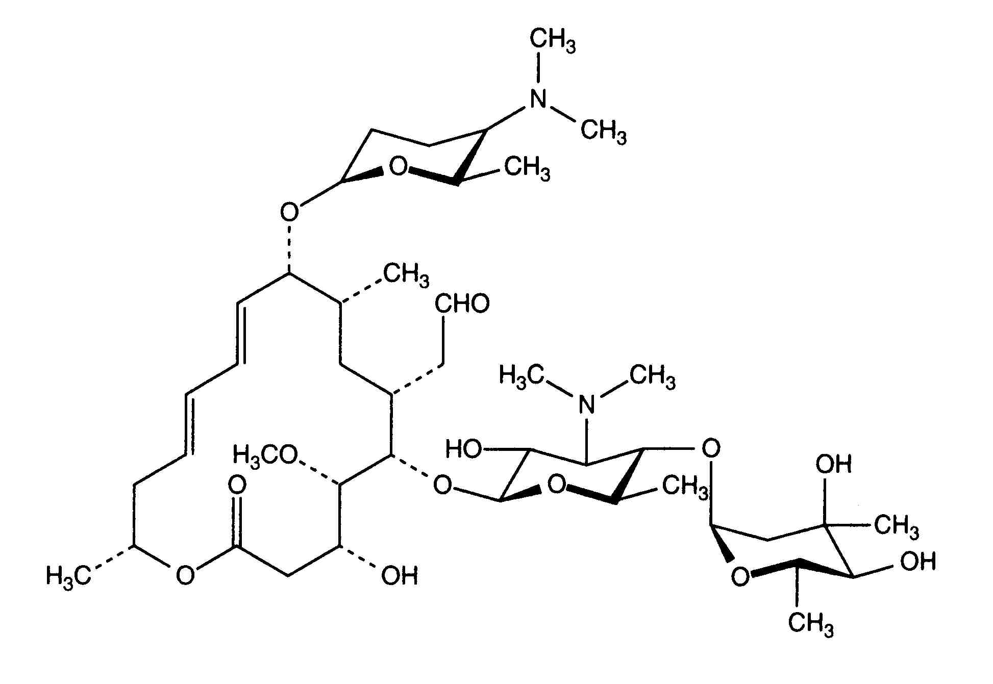
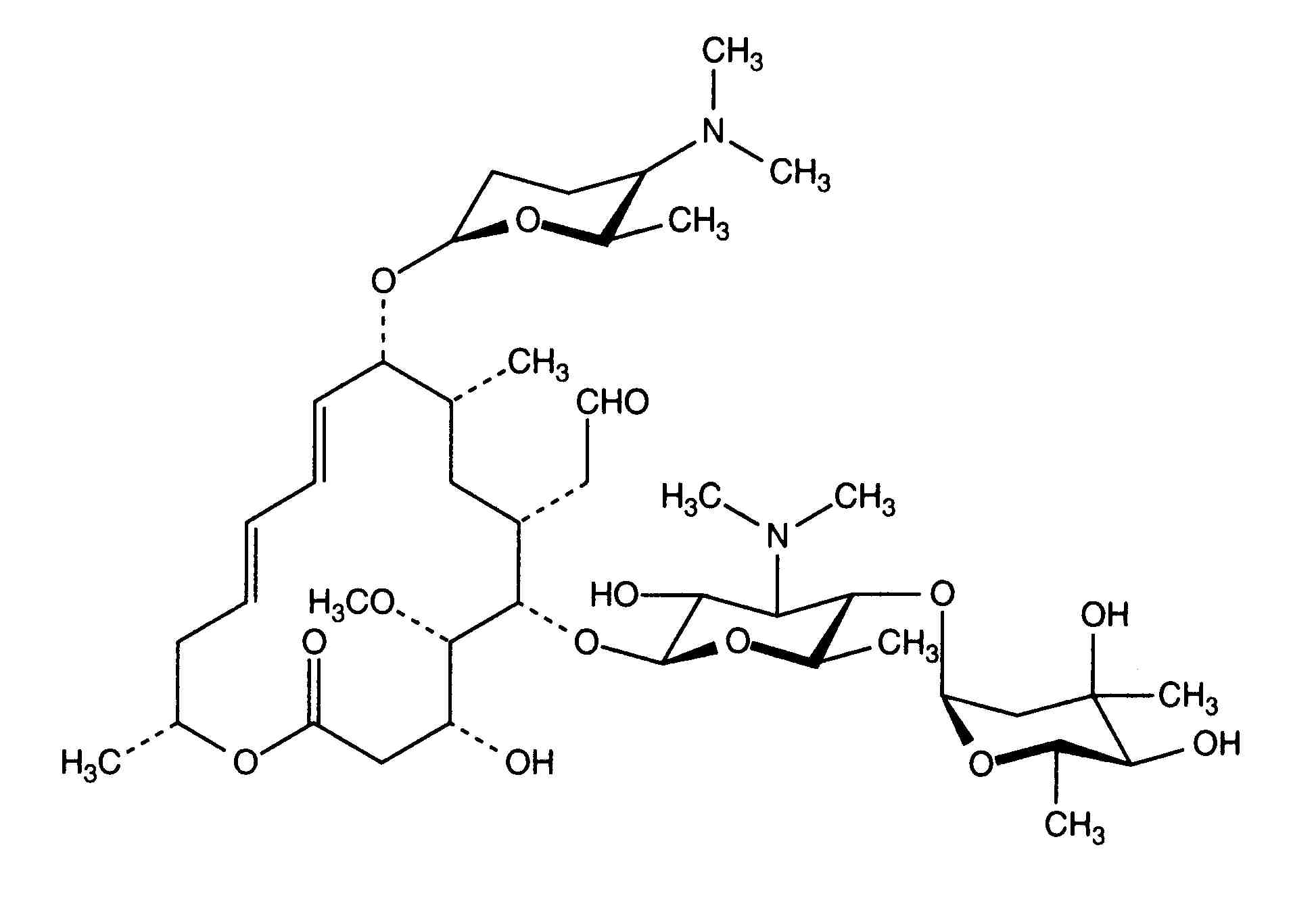
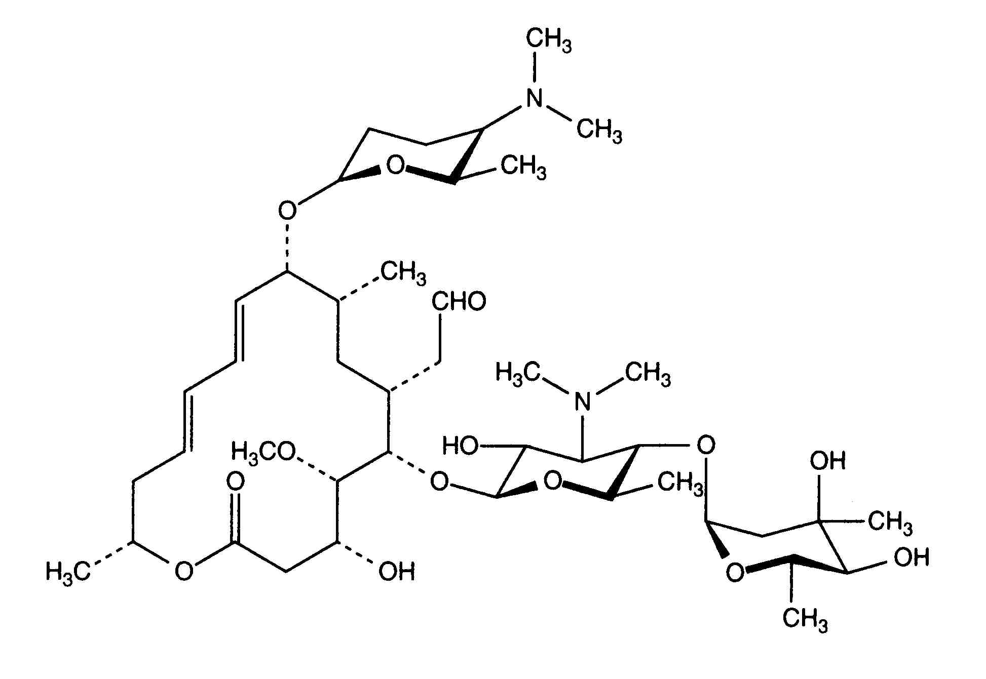
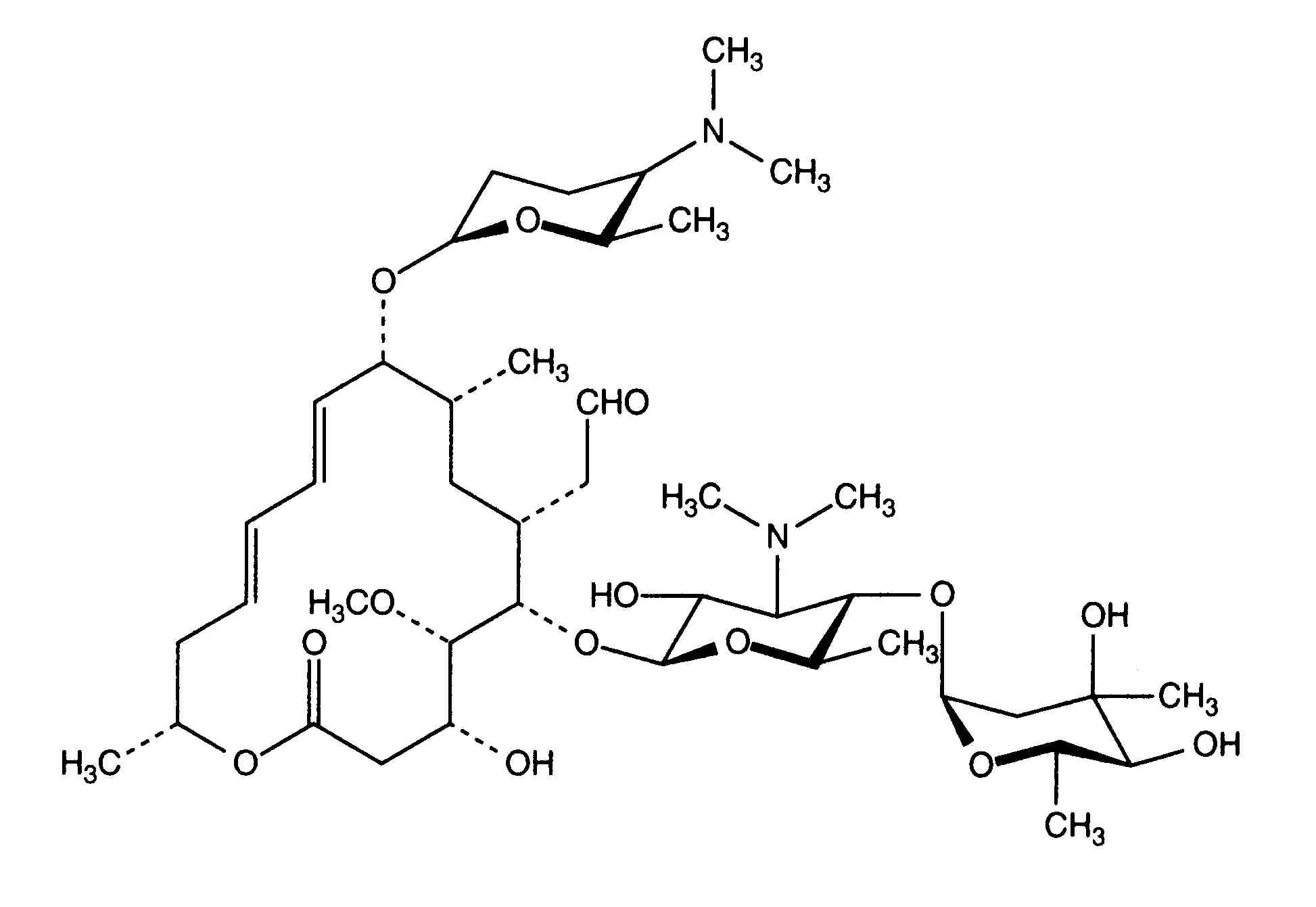
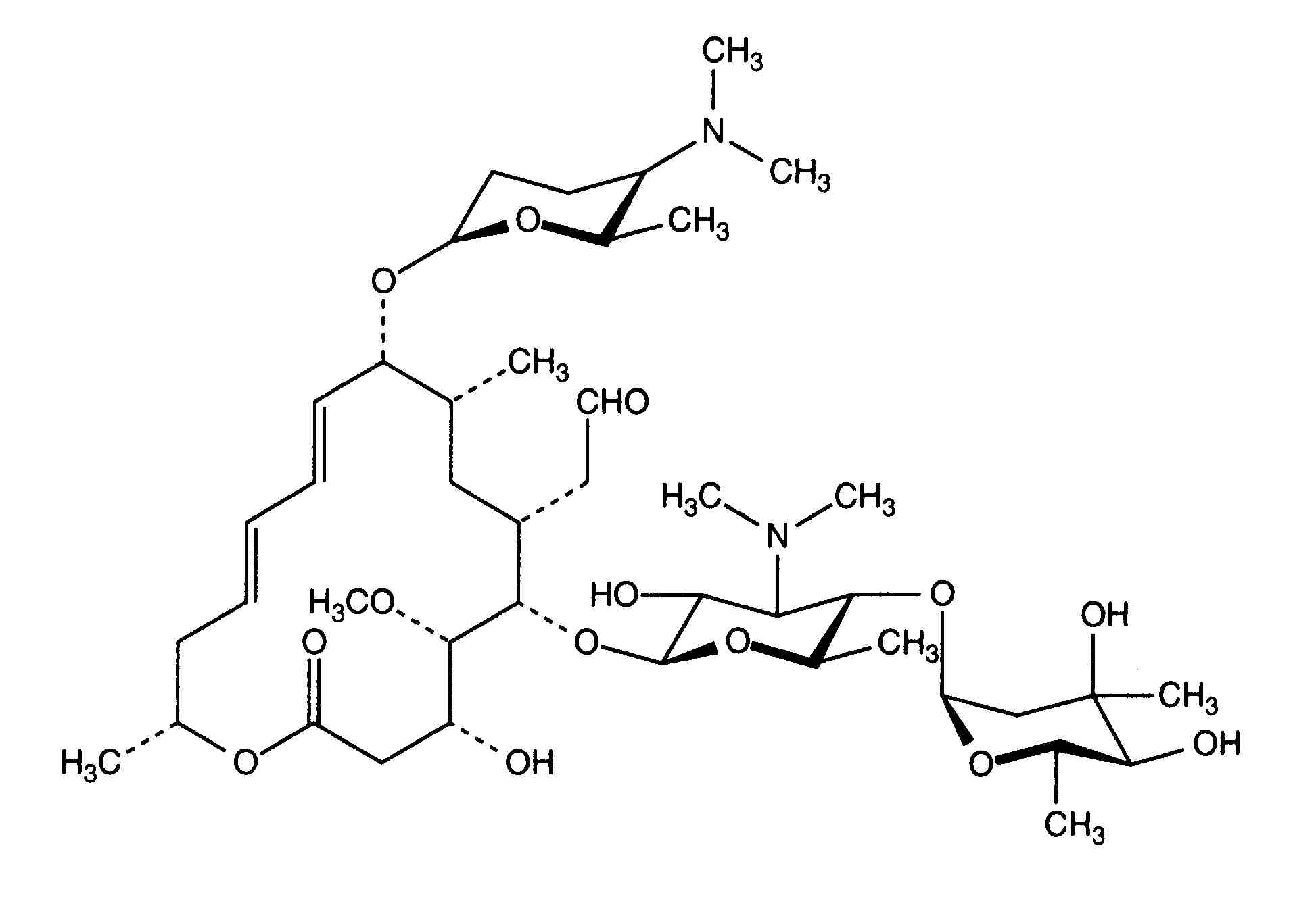
   Chemical structure  

Tradename   Tradename     

Trade names are indicative and excipients composition can be different depending on the country and manufacturers

Rovamycine France, Poland
Stability in solutions   injection   Stability in solutions : Spiramycine adipate     
Container Solvent Concentration Temperature Storage Duration of stability References
Glass Water for Injection 0.375 MUI/ml ? Not specified
12 Hour
3563
Manufacturer's stability data


  Mentions Légales