Viimeisin päivitys :
18/03/2026
Antibiootit   Spiramycine adipate  
Injektioneste
Stabilius liuoksessa Stabilius seoksissa Tekijät, jotka vaikuttavat stabiliuteen Yhteensopivuus Antotapa Viitteet pdf
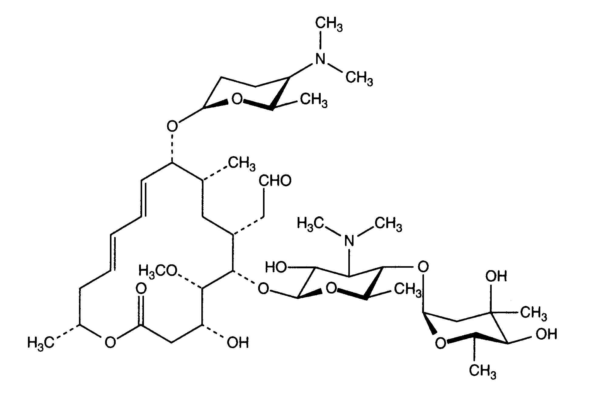
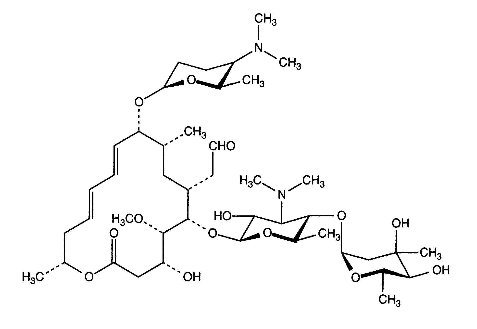
   Kemiallinen rakenne  

Kauppanimi   Kauppanimi     

Trade names are indicative and excipients composition can be different depending on the country and manufacturers

Rovamycine Puola, Ranska
Stabilius liuoksessa   Injektioneste   Stabilius liuoksessa : Spiramycine adipate     
Astia Liuotin Konsentraatio Lämpötila Säilytys Vakauden kesto Viitteet
Lasi Injektionesteisiin käytettävä vesi 0.375 MUI/ml ? Ei määritetty
12 tunti
3563
Valmistajan antamat stabiiliustiedot


  Mentions Légales