Son güncelleme :
27/11/2025
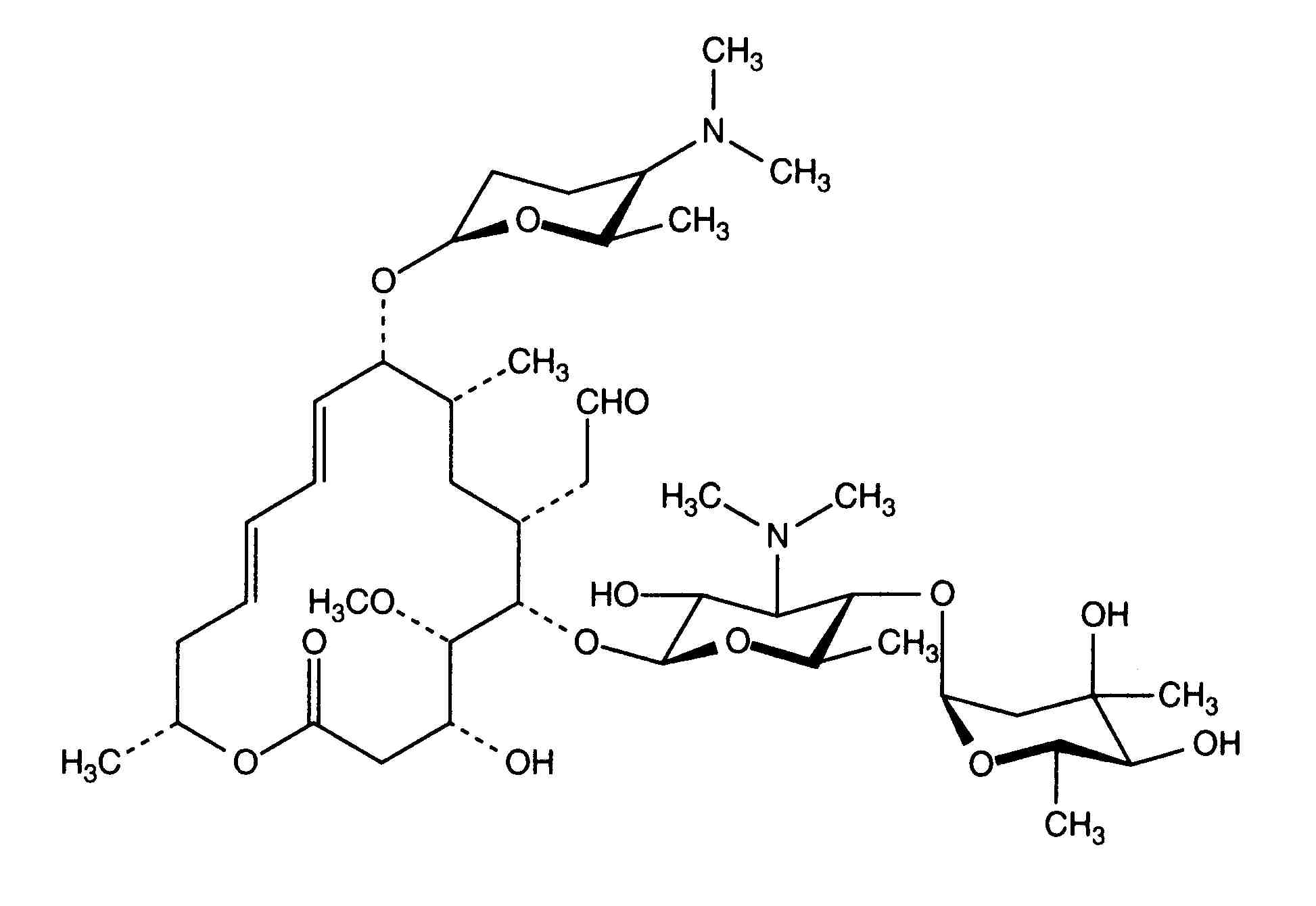
Antibiyotik   Spiramycine adipate  
Enjeksiyon
Çözeltilerin stabilitesi Karışımlardaki stabilitesi Stabiliteyi etkileyen faktörler Uyumluluk Uygulama yöntemi Kaynaklar pdf
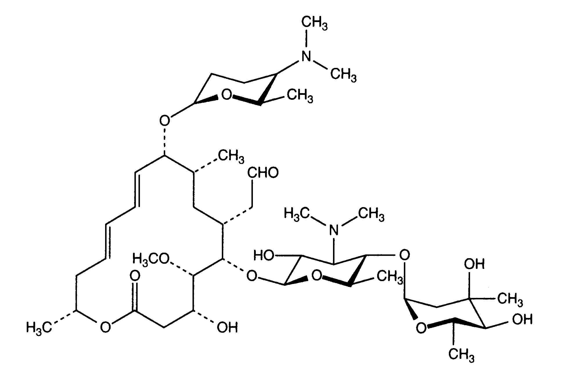
   Kimyasal yapı   

Ticari isim   Ticari isim     

Trade names are indicative and excipients composition can be different depending on the country and manufacturers

Rovamycine Fransa, Polonya
Çözeltilerin stabilitesi   Enjeksiyon    Çözeltilerin stabilitesi : Spiramycine adipate     
Saklama kabı Çözücü Konsantrasyon Isı Saklama    Stabilite süresi Kaynaklar
Cam Enjeksiyonluk su 0.375 MUI/ml ? Belirtilmemiş
12 Zaman
3563
Üreticinin stabilite verileri


  Mentions Légales