Posledná aktualizácia :
27/11/2025
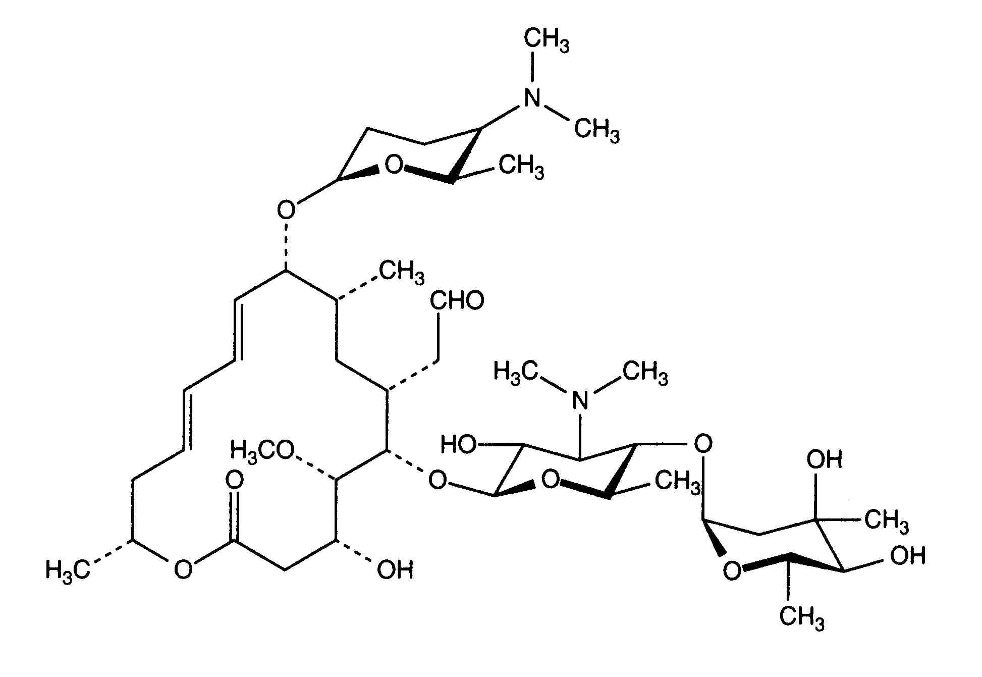
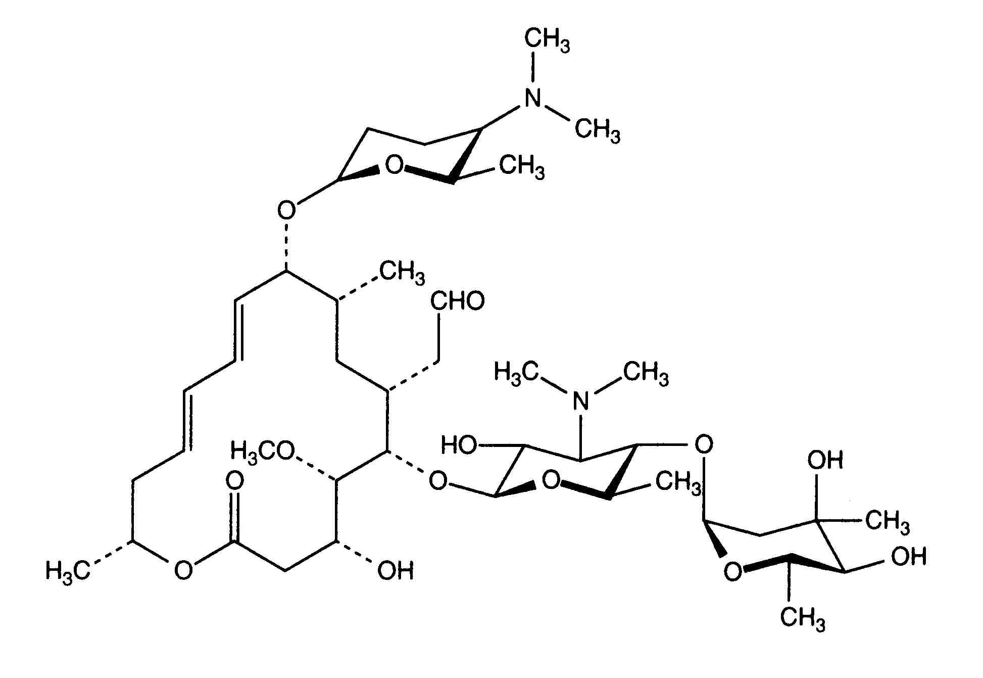
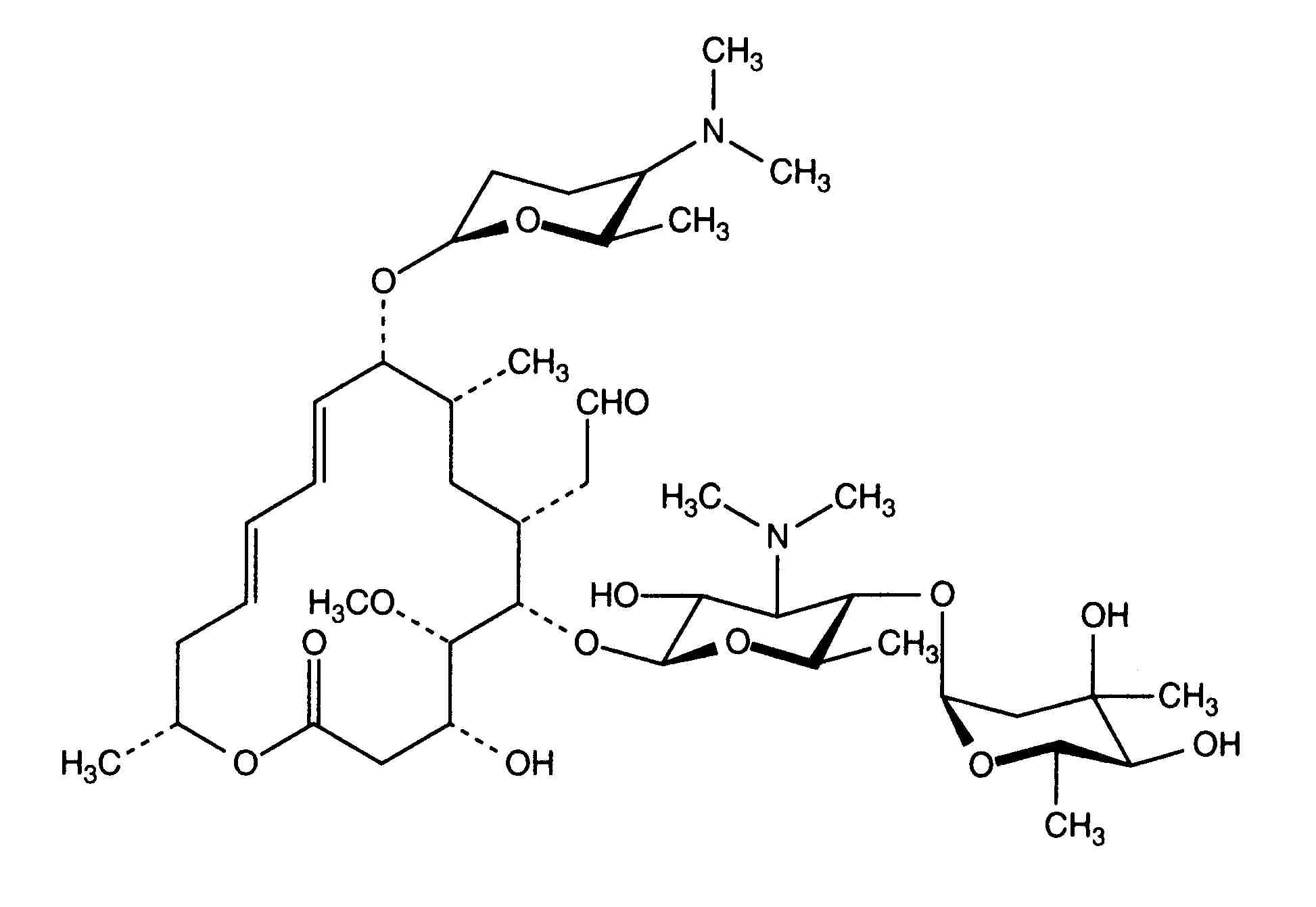
antibiotikum   Spiramycine adipate  
Injekcia
Stabilita roztokov Stabilita v zmesiach Faktory ovplyvňujúce stabilitu Kompatibility spôsob podania Odkazy na literatúru PDF
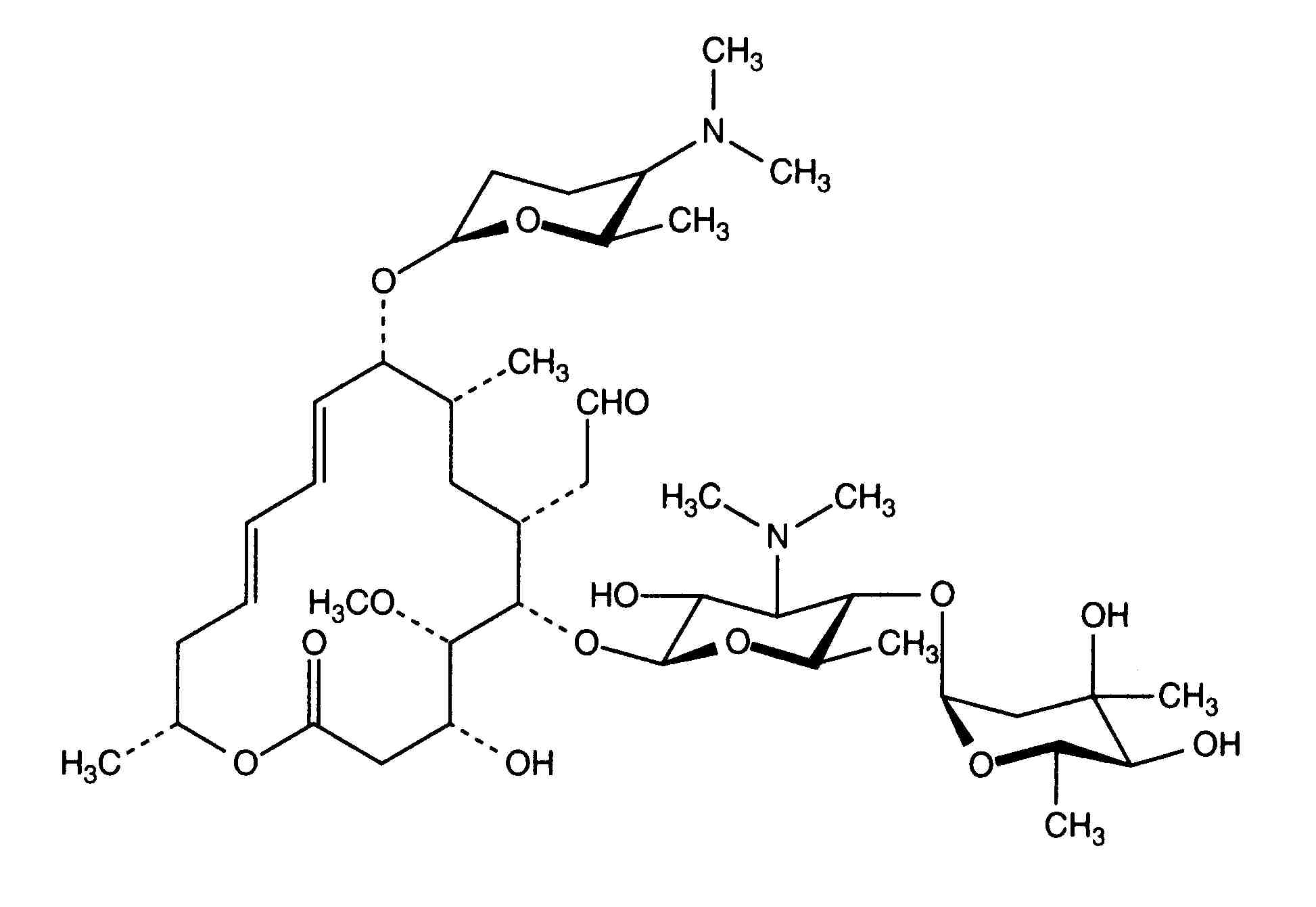
   Chemický vzorec  

Obchodný názov   Obchodný názov     

Obchodné názvy sú orientačné, a zloženie pomocných látok sa môže líšiť v závislosti od krajiny a výrobcu.

Rovamycine Francúzsko, Poľsko
Stabilita roztokov   Injekcia   Stabilita roztokov : Spiramycine adipate     
obal rozpúšťadlo koncentrácia teplota uchovávanie Trvanie stability odkazy na lieteratúru
Sklo voda na injekciu 0.375 MUI/ml ? nešpecifikované
12 hodín
3563
Údaje o stabilite od výrobcu


  Mentions Légales